
Get the free Rights Purchase Agreement: Definition & Sample
Show details
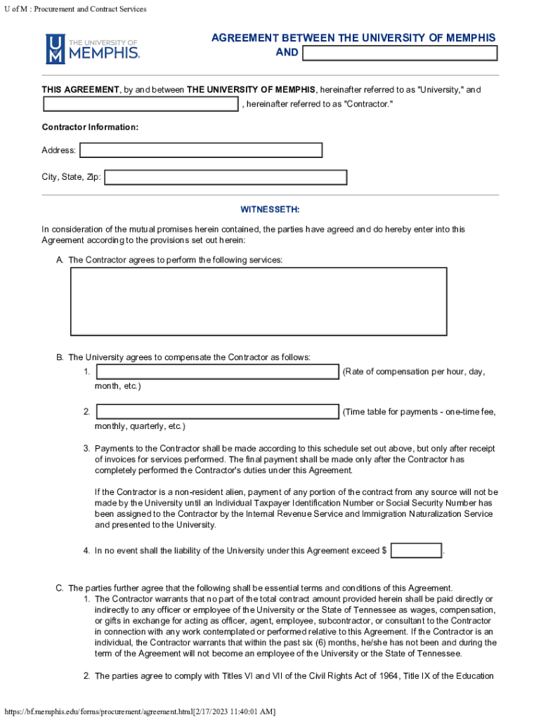
U of M : Procurement and Contract ServicesAGREEMENT BETWEEN THE UNIVERSITY OF MEMPHIS ANTIS AGREEMENT, by and between THE UNIVERSITY OF MEMPHIS, hereinafter referred to as \” University, \” and,
We are not affiliated with any brand or entity on this form
Get, Create, Make and Sign rights purchase agreement definition

Edit your rights purchase agreement definition form online
Type text, complete fillable fields, insert images, highlight or blackout data for discretion, add comments, and more.

Add your legally-binding signature
Draw or type your signature, upload a signature image, or capture it with your digital camera.

Share your form instantly
Email, fax, or share your rights purchase agreement definition form via URL. You can also download, print, or export forms to your preferred cloud storage service.
How to edit rights purchase agreement definition online
Here are the steps you need to follow to get started with our professional PDF editor:
1
Register the account. Begin by clicking Start Free Trial and create a profile if you are a new user.
2
Prepare a file. Use the Add New button to start a new project. Then, using your device, upload your file to the system by importing it from internal mail, the cloud, or adding its URL.
3
Edit rights purchase agreement definition. Rearrange and rotate pages, add and edit text, and use additional tools. To save changes and return to your Dashboard, click Done. The Documents tab allows you to merge, divide, lock, or unlock files.
4
Save your file. Select it in the list of your records. Then, move the cursor to the right toolbar and choose one of the available exporting methods: save it in multiple formats, download it as a PDF, send it by email, or store it in the cloud.
With pdfFiller, it's always easy to work with documents. Try it!
Uncompromising security for your PDF editing and eSignature needs
Your private information is safe with pdfFiller. We employ end-to-end encryption, secure cloud storage, and advanced access control to protect your documents and maintain regulatory compliance.
How to fill out rights purchase agreement definition

How to fill out rights purchase agreement definition
01
Review the terms and conditions of the rights purchase agreement.
02
Fill in the details of the parties involved in the agreement, including their names and contact information.
03
Specify the rights being purchased and the terms of the agreement, such as duration and payment terms.
04
Include any additional clauses or provisions that are relevant to the agreement.
05
Once all sections are filled out, review the agreement carefully to ensure accuracy and completeness.
06
Sign and date the agreement, ensuring that all parties involved also sign to indicate their agreement.
Who needs rights purchase agreement definition?
01
Individuals or companies looking to purchase specific rights, such as intellectual property rights or real estate rights, may need a rights purchase agreement definition to outline the terms of the agreement.
02
Legal professionals, such as lawyers or paralegals, may also need a rights purchase agreement definition to draft agreements for their clients.
Fill
form
: Try Risk Free
For pdfFiller’s FAQs
Below is a list of the most common customer questions. If you can’t find an answer to your question, please don’t hesitate to reach out to us.
Can I create an electronic signature for the rights purchase agreement definition in Chrome?
Yes. With pdfFiller for Chrome, you can eSign documents and utilize the PDF editor all in one spot. Create a legally enforceable eSignature by sketching, typing, or uploading a handwritten signature image. You may eSign your rights purchase agreement definition in seconds.
Can I create an eSignature for the rights purchase agreement definition in Gmail?
It's easy to make your eSignature with pdfFiller, and then you can sign your rights purchase agreement definition right from your Gmail inbox with the help of pdfFiller's add-on for Gmail. This is a very important point: You must sign up for an account so that you can save your signatures and signed documents.
Can I edit rights purchase agreement definition on an iOS device?
Use the pdfFiller mobile app to create, edit, and share rights purchase agreement definition from your iOS device. Install it from the Apple Store in seconds. You can benefit from a free trial and choose a subscription that suits your needs.
What is rights purchase agreement definition?
A rights purchase agreement is a legal document that outlines the terms and conditions of the purchase of rights to a specific asset or property.
Who is required to file rights purchase agreement definition?
The parties involved in the transaction are required to file the rights purchase agreement definition.
How to fill out rights purchase agreement definition?
To fill out a rights purchase agreement definition, parties must include details about the asset being purchased, the purchase price, payment terms, and any other relevant terms and conditions.
What is the purpose of rights purchase agreement definition?
The purpose of a rights purchase agreement definition is to clearly outline the rights and obligations of the parties involved in the purchase transaction.
What information must be reported on rights purchase agreement definition?
The rights purchase agreement definition must include details about the asset being purchased, purchase price, payment terms, and any other relevant terms and conditions.
Fill out your rights purchase agreement definition online with pdfFiller!
pdfFiller is an end-to-end solution for managing, creating, and editing documents and forms in the cloud. Save time and hassle by preparing your tax forms online.

Rights Purchase Agreement Definition is not the form you're looking for?Search for another form here.
Relevant keywords
Related Forms
If you believe that this page should be taken down, please follow our DMCA take down process
here
.
This form may include fields for payment information. Data entered in these fields is not covered by PCI DSS compliance.