
Get the free Matt Woods :: PROMO MATERIALS
Show details
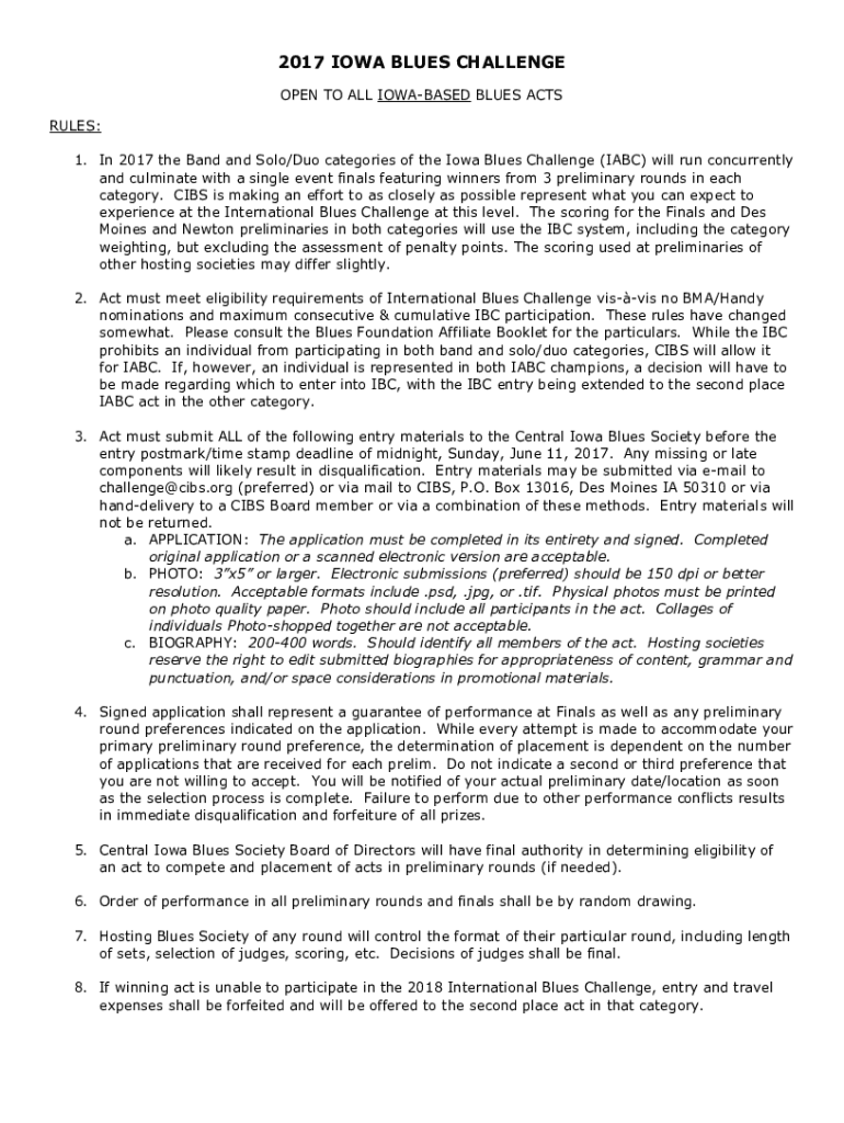
2017 IOWA BLUES CHALLENGE
OPEN TO ALL ABASED BLUES ACTS
RULES:
1. In 2017 the Band and Solo/Duo categories of the Iowa Blues Challenge (IAC) will run concurrently
and culminate with a single event
We are not affiliated with any brand or entity on this form
Get, Create, Make and Sign matt woods promo materials

Edit your matt woods promo materials form online
Type text, complete fillable fields, insert images, highlight or blackout data for discretion, add comments, and more.

Add your legally-binding signature
Draw or type your signature, upload a signature image, or capture it with your digital camera.

Share your form instantly
Email, fax, or share your matt woods promo materials form via URL. You can also download, print, or export forms to your preferred cloud storage service.
How to edit matt woods promo materials online
In order to make advantage of the professional PDF editor, follow these steps below:
1
Set up an account. If you are a new user, click Start Free Trial and establish a profile.
2
Simply add a document. Select Add New from your Dashboard and import a file into the system by uploading it from your device or importing it via the cloud, online, or internal mail. Then click Begin editing.
3
Edit matt woods promo materials. Rearrange and rotate pages, insert new and alter existing texts, add new objects, and take advantage of other helpful tools. Click Done to apply changes and return to your Dashboard. Go to the Documents tab to access merging, splitting, locking, or unlocking functions.
4
Get your file. Select the name of your file in the docs list and choose your preferred exporting method. You can download it as a PDF, save it in another format, send it by email, or transfer it to the cloud.
With pdfFiller, dealing with documents is always straightforward.
Uncompromising security for your PDF editing and eSignature needs
Your private information is safe with pdfFiller. We employ end-to-end encryption, secure cloud storage, and advanced access control to protect your documents and maintain regulatory compliance.
How to fill out matt woods promo materials

How to fill out matt woods promo materials
01
Gather all necessary information about the promotion such as dates, details, and artwork.
02
Select the appropriate materials to promote the event, such as flyers, posters, and social media graphics.
03
Design or customize the materials with the necessary information and branding.
04
Print or produce the materials in the desired quantity.
05
Distribute the materials in strategic locations to reach the target audience.
Who needs matt woods promo materials?
01
Businesses organizing events or promotions
02
Artists or musicians promoting shows or releases
03
Marketing agencies managing promotions for clients
04
Organizations promoting fundraisers or awareness campaigns
Fill
form
: Try Risk Free
For pdfFiller’s FAQs
Below is a list of the most common customer questions. If you can’t find an answer to your question, please don’t hesitate to reach out to us.
How can I send matt woods promo materials for eSignature?
matt woods promo materials is ready when you're ready to send it out. With pdfFiller, you can send it out securely and get signatures in just a few clicks. PDFs can be sent to you by email, text message, fax, USPS mail, or notarized on your account. You can do this right from your account. Become a member right now and try it out for yourself!
How do I edit matt woods promo materials in Chrome?
Download and install the pdfFiller Google Chrome Extension to your browser to edit, fill out, and eSign your matt woods promo materials, which you can open in the editor with a single click from a Google search page. Fillable documents may be executed from any internet-connected device without leaving Chrome.
How do I edit matt woods promo materials straight from my smartphone?
You can easily do so with pdfFiller's apps for iOS and Android devices, which can be found at the Apple Store and the Google Play Store, respectively. You can use them to fill out PDFs. We have a website where you can get the app, but you can also get it there. When you install the app, log in, and start editing matt woods promo materials, you can start right away.
What is matt woods promo materials?
Matt Woods promo materials consist of any materials used to promote Matt Woods, such as flyers, posters, social media posts, and promotional videos.
Who is required to file matt woods promo materials?
Anyone involved in creating or distributing Matt Woods promo materials, such as marketing teams, event organizers, or sponsors, may be required to file them.
How to fill out matt woods promo materials?
Matt Woods promo materials should be filled out with all relevant information, including the event details, dates, venues, and contact information for inquiries.
What is the purpose of matt woods promo materials?
The purpose of Matt Woods promo materials is to attract attention, generate interest, and promote events or products associated with Matt Woods.
What information must be reported on matt woods promo materials?
Matt Woods promo materials must include accurate and up-to-date information about the events or products being promoted, as well as any necessary disclaimers or legal disclosures.
Fill out your matt woods promo materials online with pdfFiller!
pdfFiller is an end-to-end solution for managing, creating, and editing documents and forms in the cloud. Save time and hassle by preparing your tax forms online.

Matt Woods Promo Materials is not the form you're looking for?Search for another form here.
Relevant keywords
Related Forms
If you believe that this page should be taken down, please follow our DMCA take down process
here
.
This form may include fields for payment information. Data entered in these fields is not covered by PCI DSS compliance.