
Get the free senate for - Student Life - Santa Rosa Junior College - studentlife santarosa
Show details
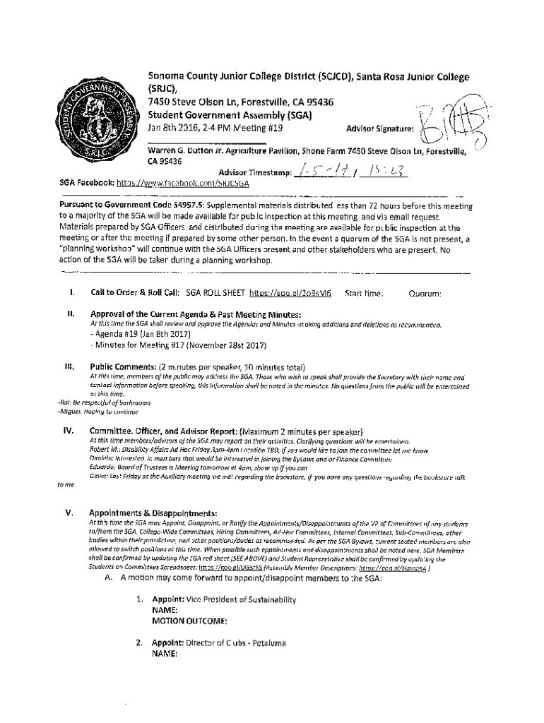
Sonoma County Junior College District (SCJ CD), Santa Rosa Junior College
(SRC),
7450 Steve Olson Ln, Forestall, CA 95436
Student Government Assembly (SGA)Jan 8th 2016, 24 PM Meeting #19b /)f, Advisor
We are not affiliated with any brand or entity on this form
Get, Create, Make and Sign senate for - student

Edit your senate for - student form online
Type text, complete fillable fields, insert images, highlight or blackout data for discretion, add comments, and more.

Add your legally-binding signature
Draw or type your signature, upload a signature image, or capture it with your digital camera.

Share your form instantly
Email, fax, or share your senate for - student form via URL. You can also download, print, or export forms to your preferred cloud storage service.
Editing senate for - student online
Follow the steps down below to use a professional PDF editor:
1
Set up an account. If you are a new user, click Start Free Trial and establish a profile.
2
Upload a file. Select Add New on your Dashboard and upload a file from your device or import it from the cloud, online, or internal mail. Then click Edit.
3
Edit senate for - student. Rearrange and rotate pages, add new and changed texts, add new objects, and use other useful tools. When you're done, click Done. You can use the Documents tab to merge, split, lock, or unlock your files.
4
Get your file. When you find your file in the docs list, click on its name and choose how you want to save it. To get the PDF, you can save it, send an email with it, or move it to the cloud.
With pdfFiller, dealing with documents is always straightforward.
Uncompromising security for your PDF editing and eSignature needs
Your private information is safe with pdfFiller. We employ end-to-end encryption, secure cloud storage, and advanced access control to protect your documents and maintain regulatory compliance.
How to fill out senate for - student

How to fill out senate for - student
01
Obtain the necessary forms from your school's administration office.
02
Fill out the form with your personal information, including your name, student ID number, and contact information.
03
Select the candidates you wish to vote for by marking the appropriate boxes next to their names.
04
Review your choices to ensure accuracy and completeness before submitting the form.
05
Submit the completed form to the designated drop-off location or follow the specified instructions for online submission.
Who needs senate for - student?
01
Any student who is eligible to vote in the school's senate elections needs to fill out a senate form.
Fill
form
: Try Risk Free
For pdfFiller’s FAQs
Below is a list of the most common customer questions. If you can’t find an answer to your question, please don’t hesitate to reach out to us.
How do I execute senate for - student online?
With pdfFiller, you may easily complete and sign senate for - student online. It lets you modify original PDF material, highlight, blackout, erase, and write text anywhere on a page, legally eSign your document, and do a lot more. Create a free account to handle professional papers online.
How do I fill out the senate for - student form on my smartphone?
The pdfFiller mobile app makes it simple to design and fill out legal paperwork. Complete and sign senate for - student and other papers using the app. Visit pdfFiller's website to learn more about the PDF editor's features.
How do I complete senate for - student on an iOS device?
Install the pdfFiller app on your iOS device to fill out papers. Create an account or log in if you already have one. After registering, upload your senate for - student. You may now use pdfFiller's advanced features like adding fillable fields and eSigning documents from any device, anywhere.
What is senate for - student?
Senate for students is a form that must be filled out to apply for financial aid, scholarships, grants, and other forms of student assistance.
Who is required to file senate for - student?
All students who are seeking financial aid or scholarships are required to file Senate for students.
How to fill out senate for - student?
Students can fill out Senate for students online through their school's financial aid office or through the official government website.
What is the purpose of senate for - student?
The purpose of Senate for students is to collect information about a student's financial situation to determine their eligibility for financial aid.
What information must be reported on senate for - student?
Students must report their income, assets, expenses, and other financial information on Senate for students.
Fill out your senate for - student online with pdfFiller!
pdfFiller is an end-to-end solution for managing, creating, and editing documents and forms in the cloud. Save time and hassle by preparing your tax forms online.

Senate For - Student is not the form you're looking for?Search for another form here.
Relevant keywords
Related Forms
If you believe that this page should be taken down, please follow our DMCA take down process
here
.
This form may include fields for payment information. Data entered in these fields is not covered by PCI DSS compliance.