Get the free This year, our class will participate in an exciting Junior ...
Show details
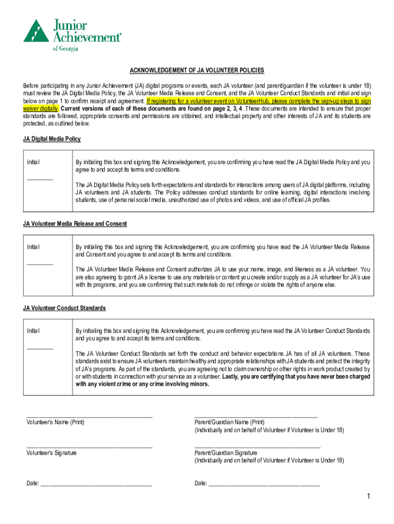
ACKNOWLEDGEMENT OF JA VOLUNTEER POLICIES Before participating in any Junior Achievement (JA) digital programs or events, each JA volunteer (and parent/guardian if the volunteer is under 18) must review
We are not affiliated with any brand or entity on this form
Get, Create, Make and Sign this year our class
Edit your this year our class form online
Type text, complete fillable fields, insert images, highlight or blackout data for discretion, add comments, and more.
Add your legally-binding signature
Draw or type your signature, upload a signature image, or capture it with your digital camera.
Share your form instantly
Email, fax, or share your this year our class form via URL. You can also download, print, or export forms to your preferred cloud storage service.
How to edit this year our class online
To use our professional PDF editor, follow these steps:
1
Log in. Click Start Free Trial and create a profile if necessary.
2
Simply add a document. Select Add New from your Dashboard and import a file into the system by uploading it from your device or importing it via the cloud, online, or internal mail. Then click Begin editing.
3
Edit this year our class. Rearrange and rotate pages, add and edit text, and use additional tools. To save changes and return to your Dashboard, click Done. The Documents tab allows you to merge, divide, lock, or unlock files.
4
Save your file. Select it from your list of records. Then, move your cursor to the right toolbar and choose one of the exporting options. You can save it in multiple formats, download it as a PDF, send it by email, or store it in the cloud, among other things.
The use of pdfFiller makes dealing with documents straightforward.
Uncompromising security for your PDF editing and eSignature needs
Your private information is safe with pdfFiller. We employ end-to-end encryption, secure cloud storage, and advanced access control to protect your documents and maintain regulatory compliance.
How to fill out this year our class
How to fill out this year our class
01
Attend all classes regularly
02
Complete all assignments on time
03
Participate actively in class discussions and activities
04
Communicate with classmates and teachers for support when needed
05
Review and study class materials consistently
Who needs this year our class?
01
All students enrolled in the class
02
Anyone who wants to succeed academically
03
Individuals looking to learn and grow in the subject matter
Fill
form
: Try Risk Free
For pdfFiller’s FAQs
Below is a list of the most common customer questions. If you can’t find an answer to your question, please don’t hesitate to reach out to us.
How can I modify this year our class without leaving Google Drive?
You can quickly improve your document management and form preparation by integrating pdfFiller with Google Docs so that you can create, edit and sign documents directly from your Google Drive. The add-on enables you to transform your this year our class into a dynamic fillable form that you can manage and eSign from any internet-connected device.
How do I edit this year our class online?
The editing procedure is simple with pdfFiller. Open your this year our class in the editor. You may also add photos, draw arrows and lines, insert sticky notes and text boxes, and more.
Can I create an electronic signature for the this year our class in Chrome?
Yes. By adding the solution to your Chrome browser, you can use pdfFiller to eSign documents and enjoy all of the features of the PDF editor in one place. Use the extension to create a legally-binding eSignature by drawing it, typing it, or uploading a picture of your handwritten signature. Whatever you choose, you will be able to eSign your this year our class in seconds.
What is this year our class?
This year our class is Learning Year 2024.
Who is required to file this year our class?
All students must file their class details for Learning Year 2024.
How to fill out this year our class?
You can fill out your class details for Learning Year 2024 online through the school's portal or by submitting a physical form to the administration.
What is the purpose of this year our class?
The purpose of this year our class is to track student progress, monitor attendance, and ensure proper academic record-keeping.
What information must be reported on this year our class?
The information that must be reported on this year our class includes student name, grade level, subjects taken, attendance record, and any academic achievements.
Fill out your this year our class online with pdfFiller!
pdfFiller is an end-to-end solution for managing, creating, and editing documents and forms in the cloud. Save time and hassle by preparing your tax forms online.
This Year Our Class is not the form you're looking for?Search for another form here.
Relevant keywords
Related Forms
If you believe that this page should be taken down, please follow our DMCA take down process
here
.
This form may include fields for payment information. Data entered in these fields is not covered by PCI DSS compliance.