Get the free Job Posting: Staff Services Manager I (Specialist) - CalCareers
Show details
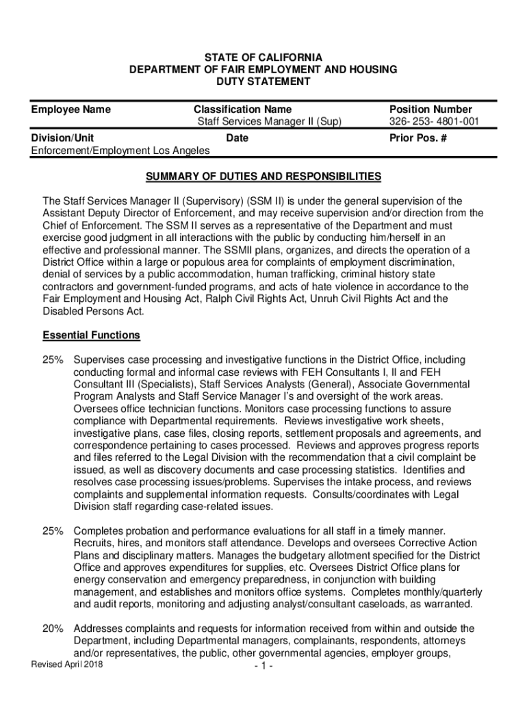
STATE OF CALIFORNIA
DEPARTMENT OF FAIR EMPLOYMENT AND HOUSING
DUTY STATEMENT
Employee Reclassification Name
Staff Services Manager II (Sup)Division/Unit
Enforcement/Employment Los AngelesDatePosition
We are not affiliated with any brand or entity on this form
Get, Create, Make and Sign job posting staff services
Edit your job posting staff services form online
Type text, complete fillable fields, insert images, highlight or blackout data for discretion, add comments, and more.
Add your legally-binding signature
Draw or type your signature, upload a signature image, or capture it with your digital camera.
Share your form instantly
Email, fax, or share your job posting staff services form via URL. You can also download, print, or export forms to your preferred cloud storage service.
How to edit job posting staff services online
Here are the steps you need to follow to get started with our professional PDF editor:
1
Register the account. Begin by clicking Start Free Trial and create a profile if you are a new user.
2
Upload a file. Select Add New on your Dashboard and upload a file from your device or import it from the cloud, online, or internal mail. Then click Edit.
3
Edit job posting staff services. Rearrange and rotate pages, add new and changed texts, add new objects, and use other useful tools. When you're done, click Done. You can use the Documents tab to merge, split, lock, or unlock your files.
4
Get your file. When you find your file in the docs list, click on its name and choose how you want to save it. To get the PDF, you can save it, send an email with it, or move it to the cloud.
Uncompromising security for your PDF editing and eSignature needs
Your private information is safe with pdfFiller. We employ end-to-end encryption, secure cloud storage, and advanced access control to protect your documents and maintain regulatory compliance.
How to fill out job posting staff services
How to fill out job posting staff services
01
Create a detailed job description including job title, responsibilities, qualifications, and perks.
02
Choose appropriate job boards or websites to post the job listing.
03
Write a compelling job posting headline to attract potential candidates.
04
Include company background, culture, and benefits to make the job posting more appealing.
05
Set clear application instructions and deadlines for interested applicants.
Who needs job posting staff services?
01
Companies looking to hire new staff members.
02
Recruitment agencies assisting businesses in filling job vacancies.
03
Job seekers looking for new employment opportunities.
Fill
form
: Try Risk Free
For pdfFiller’s FAQs
Below is a list of the most common customer questions. If you can’t find an answer to your question, please don’t hesitate to reach out to us.
How can I manage my job posting staff services directly from Gmail?
Using pdfFiller's Gmail add-on, you can edit, fill out, and sign your job posting staff services and other papers directly in your email. You may get it through Google Workspace Marketplace. Make better use of your time by handling your papers and eSignatures.
How can I modify job posting staff services without leaving Google Drive?
It is possible to significantly enhance your document management and form preparation by combining pdfFiller with Google Docs. This will allow you to generate papers, amend them, and sign them straight from your Google Drive. Use the add-on to convert your job posting staff services into a dynamic fillable form that can be managed and signed using any internet-connected device.
How do I fill out job posting staff services using my mobile device?
On your mobile device, use the pdfFiller mobile app to complete and sign job posting staff services. Visit our website (https://edit-pdf-ios-android.pdffiller.com/) to discover more about our mobile applications, the features you'll have access to, and how to get started.
What is job posting staff services?
Job posting staff services is a platform where employers can advertise job vacancies and candidates can apply for those positions.
Who is required to file job posting staff services?
Employers who have job vacancies and are looking to hire new staff are required to file job posting staff services.
How to fill out job posting staff services?
To fill out job posting staff services, employers need to register on the platform, create a job posting with all the necessary details, and then publish it for candidates to see and apply.
What is the purpose of job posting staff services?
The purpose of job posting staff services is to connect job seekers with potential employers and facilitate the hiring process for both parties.
What information must be reported on job posting staff services?
The information that must be reported on job posting staff services includes job title, job description, required qualifications, location, salary, and application deadline.
Fill out your job posting staff services online with pdfFiller!
pdfFiller is an end-to-end solution for managing, creating, and editing documents and forms in the cloud. Save time and hassle by preparing your tax forms online.
Job Posting Staff Services is not the form you're looking for?Search for another form here.
Relevant keywords
Related Forms
If you believe that this page should be taken down, please follow our DMCA take down process
here
.
This form may include fields for payment information. Data entered in these fields is not covered by PCI DSS compliance.