
Get the free New Degree & Certificate Proposal Process
Show details
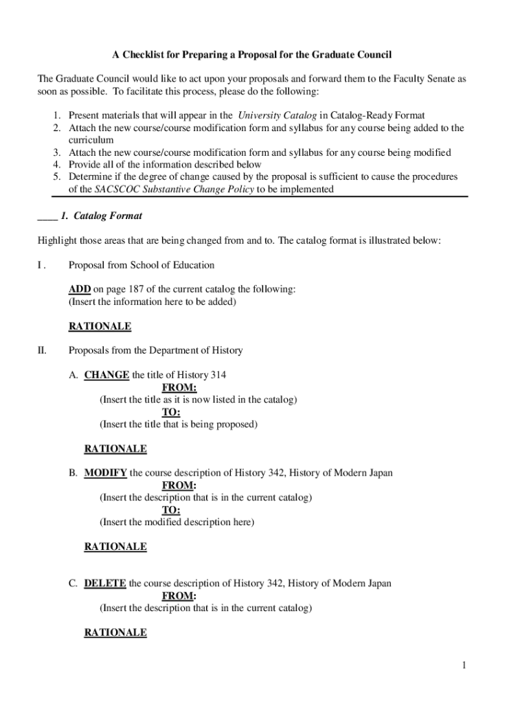
A Checklist for Preparing a Proposal for the Graduate Council The Graduate Council would like to act upon your proposals and forward them to the Faculty Senate as soon as possible. To facilitate this
We are not affiliated with any brand or entity on this form
Get, Create, Make and Sign new degree ampamp certificate

Edit your new degree ampamp certificate form online
Type text, complete fillable fields, insert images, highlight or blackout data for discretion, add comments, and more.

Add your legally-binding signature
Draw or type your signature, upload a signature image, or capture it with your digital camera.

Share your form instantly
Email, fax, or share your new degree ampamp certificate form via URL. You can also download, print, or export forms to your preferred cloud storage service.
Editing new degree ampamp certificate online
To use the professional PDF editor, follow these steps:
1
Register the account. Begin by clicking Start Free Trial and create a profile if you are a new user.
2
Simply add a document. Select Add New from your Dashboard and import a file into the system by uploading it from your device or importing it via the cloud, online, or internal mail. Then click Begin editing.
3
Edit new degree ampamp certificate. Rearrange and rotate pages, add and edit text, and use additional tools. To save changes and return to your Dashboard, click Done. The Documents tab allows you to merge, divide, lock, or unlock files.
4
Save your file. Select it from your records list. Then, click the right toolbar and select one of the various exporting options: save in numerous formats, download as PDF, email, or cloud.
It's easier to work with documents with pdfFiller than you could have ever thought. You may try it out for yourself by signing up for an account.
Uncompromising security for your PDF editing and eSignature needs
Your private information is safe with pdfFiller. We employ end-to-end encryption, secure cloud storage, and advanced access control to protect your documents and maintain regulatory compliance.
How to fill out new degree ampamp certificate

How to fill out new degree ampamp certificate
01
Obtain the necessary application form for the new degree or certificate from the educational institution.
02
Fill out personal information including name, date of birth, and contact details.
03
Provide details of previous education including the name of the institution, dates attended, and degree/certificate obtained.
04
Specify the new degree or certificate program you are applying for.
05
Submit any required documents such as transcripts, letters of recommendation, and proof of identity.
06
Pay any application fees if applicable.
07
Submit the completed application form and supporting documents to the admissions office or designated department.
08
Wait for confirmation of acceptance and further instructions from the institution.
Who needs new degree ampamp certificate?
01
Individuals seeking to advance their education or career prospects may need a new degree or certificate.
02
Students graduating from an educational program may need a degree or certificate as proof of completion.
03
Professionals looking to enhance their qualifications or skills in a specific field may require a new degree or certificate.
Fill
form
: Try Risk Free
For pdfFiller’s FAQs
Below is a list of the most common customer questions. If you can’t find an answer to your question, please don’t hesitate to reach out to us.
How do I edit new degree ampamp certificate in Chrome?
Download and install the pdfFiller Google Chrome Extension to your browser to edit, fill out, and eSign your new degree ampamp certificate, which you can open in the editor with a single click from a Google search page. Fillable documents may be executed from any internet-connected device without leaving Chrome.
How can I edit new degree ampamp certificate on a smartphone?
You can do so easily with pdfFiller’s applications for iOS and Android devices, which can be found at the Apple Store and Google Play Store, respectively. Alternatively, you can get the app on our web page: https://edit-pdf-ios-android.pdffiller.com/. Install the application, log in, and start editing new degree ampamp certificate right away.
How do I edit new degree ampamp certificate on an Android device?
You can. With the pdfFiller Android app, you can edit, sign, and distribute new degree ampamp certificate from anywhere with an internet connection. Take use of the app's mobile capabilities.
What is new degree ampamp certificate?
New degree ampamp certificate is a document that certifies the completion of a new degree or certification program.
Who is required to file new degree ampamp certificate?
Any individual who has completed a new degree or certification program is required to file a new degree ampamp certificate.
How to fill out new degree ampamp certificate?
To fill out a new degree ampamp certificate, you will need to provide information such as your name, the name of the degree or certification program completed, the date of completion, and any relevant institution.
What is the purpose of new degree ampamp certificate?
The purpose of a new degree ampamp certificate is to provide official documentation of the completion of a new degree or certification program.
What information must be reported on new degree ampamp certificate?
The new degree ampamp certificate must include the individual's name, the name of the degree or certification program completed, the date of completion, and the institution where the program was completed.
Fill out your new degree ampamp certificate online with pdfFiller!
pdfFiller is an end-to-end solution for managing, creating, and editing documents and forms in the cloud. Save time and hassle by preparing your tax forms online.

New Degree Ampamp Certificate is not the form you're looking for?Search for another form here.
Relevant keywords
Related Forms
If you believe that this page should be taken down, please follow our DMCA take down process
here
.
This form may include fields for payment information. Data entered in these fields is not covered by PCI DSS compliance.