Get the free District Detail for STERLING PUBLIC SCHOOLS
Show details
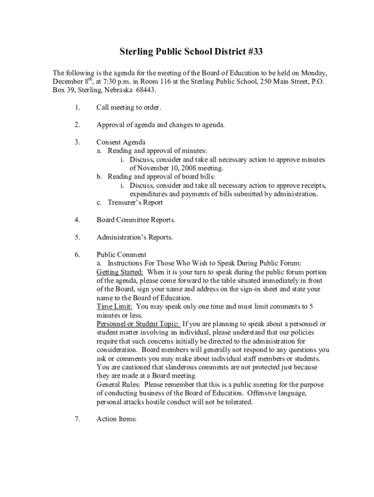
Sterling Public School District #33 The following is the agenda for the meeting of the Board of Education to be held on Monday, December 8th, at 7:30 p.m. in Room 116 at the Sterling Public School,
We are not affiliated with any brand or entity on this form
Get, Create, Make and Sign district detail for sterling
Edit your district detail for sterling form online
Type text, complete fillable fields, insert images, highlight or blackout data for discretion, add comments, and more.
Add your legally-binding signature
Draw or type your signature, upload a signature image, or capture it with your digital camera.
Share your form instantly
Email, fax, or share your district detail for sterling form via URL. You can also download, print, or export forms to your preferred cloud storage service.
Editing district detail for sterling online
Follow the steps below to use a professional PDF editor:
1
Register the account. Begin by clicking Start Free Trial and create a profile if you are a new user.
2
Upload a document. Select Add New on your Dashboard and transfer a file into the system in one of the following ways: by uploading it from your device or importing from the cloud, web, or internal mail. Then, click Start editing.
3
Edit district detail for sterling. Add and change text, add new objects, move pages, add watermarks and page numbers, and more. Then click Done when you're done editing and go to the Documents tab to merge or split the file. If you want to lock or unlock the file, click the lock or unlock button.
4
Save your file. Select it from your list of records. Then, move your cursor to the right toolbar and choose one of the exporting options. You can save it in multiple formats, download it as a PDF, send it by email, or store it in the cloud, among other things.
With pdfFiller, it's always easy to work with documents.
Uncompromising security for your PDF editing and eSignature needs
Your private information is safe with pdfFiller. We employ end-to-end encryption, secure cloud storage, and advanced access control to protect your documents and maintain regulatory compliance.
How to fill out district detail for sterling
How to fill out district detail for sterling
01
Log in to the official website of Sterling.
02
Go to the district detail section on the website.
03
Fill out all the required fields such as district name, population, area, etc.
04
Double-check the information entered for accuracy.
05
Save the changes and submit the district detail form.
Who needs district detail for sterling?
01
Government agencies for planning and administration purposes.
02
Researchers and analysts studying demographic trends.
03
Businesses looking to target specific demographics in Sterling.
Fill
form
: Try Risk Free
For pdfFiller’s FAQs
Below is a list of the most common customer questions. If you can’t find an answer to your question, please don’t hesitate to reach out to us.
How can I get district detail for sterling?
With pdfFiller, an all-in-one online tool for professional document management, it's easy to fill out documents. Over 25 million fillable forms are available on our website, and you can find the district detail for sterling in a matter of seconds. Open it right away and start making it your own with help from advanced editing tools.
How do I execute district detail for sterling online?
pdfFiller makes it easy to finish and sign district detail for sterling online. It lets you make changes to original PDF content, highlight, black out, erase, and write text anywhere on a page, legally eSign your form, and more, all from one place. Create a free account and use the web to keep track of professional documents.
Can I create an electronic signature for the district detail for sterling in Chrome?
Yes, you can. With pdfFiller, you not only get a feature-rich PDF editor and fillable form builder but a powerful e-signature solution that you can add directly to your Chrome browser. Using our extension, you can create your legally-binding eSignature by typing, drawing, or capturing a photo of your signature using your webcam. Choose whichever method you prefer and eSign your district detail for sterling in minutes.
What is district detail for sterling?
District detail for sterling is a report that provides specific information about the financial activities of a specific district or area named Sterling.
Who is required to file district detail for sterling?
School districts, government agencies, or organizations operating within the Sterling district are required to file the district detail.
How to fill out district detail for sterling?
District detail for sterling can be filled out by providing all necessary financial information in the designated form provided by the appropriate authorities.
What is the purpose of district detail for sterling?
The purpose of district detail for sterling is to ensure transparency and accountability in the financial management of the specific district named Sterling.
What information must be reported on district detail for sterling?
The district detail for Sterling must report all financial transactions, revenues, expenditures, and budget allocations related to the specific district.
Fill out your district detail for sterling online with pdfFiller!
pdfFiller is an end-to-end solution for managing, creating, and editing documents and forms in the cloud. Save time and hassle by preparing your tax forms online.
District Detail For Sterling is not the form you're looking for?Search for another form here.
Relevant keywords
Related Forms
If you believe that this page should be taken down, please follow our DMCA take down process
here
.
This form may include fields for payment information. Data entered in these fields is not covered by PCI DSS compliance.