Get the free Conference Proceedings Book
Show details
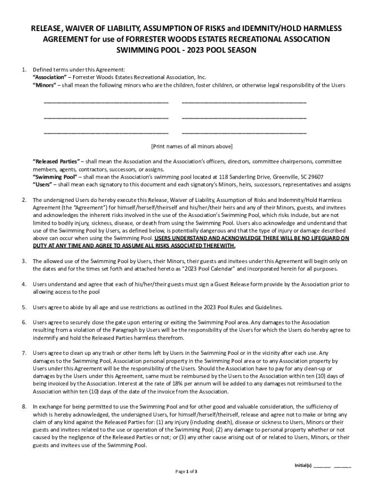
RELEASE, WAIVER OF LIABILITY, ASSUMPTION OF RISKS and INDEMNITY/HOLD HARMLESS AGREEMENT for use of FORRESTER WOODS ESTATES RECREATIONAL ASSOCIATION SWIMMING POOL 2023 POOL SEASON 1. Defined terms
We are not affiliated with any brand or entity on this form
Get, Create, Make and Sign conference proceedings book
Edit your conference proceedings book form online
Type text, complete fillable fields, insert images, highlight or blackout data for discretion, add comments, and more.
Add your legally-binding signature
Draw or type your signature, upload a signature image, or capture it with your digital camera.
Share your form instantly
Email, fax, or share your conference proceedings book form via URL. You can also download, print, or export forms to your preferred cloud storage service.
Editing conference proceedings book online
Here are the steps you need to follow to get started with our professional PDF editor:
1
Log in. Click Start Free Trial and create a profile if necessary.
2
Prepare a file. Use the Add New button. Then upload your file to the system from your device, importing it from internal mail, the cloud, or by adding its URL.
3
Edit conference proceedings book. Add and change text, add new objects, move pages, add watermarks and page numbers, and more. Then click Done when you're done editing and go to the Documents tab to merge or split the file. If you want to lock or unlock the file, click the lock or unlock button.
4
Save your file. Choose it from the list of records. Then, shift the pointer to the right toolbar and select one of the several exporting methods: save it in multiple formats, download it as a PDF, email it, or save it to the cloud.
pdfFiller makes dealing with documents a breeze. Create an account to find out!
Uncompromising security for your PDF editing and eSignature needs
Your private information is safe with pdfFiller. We employ end-to-end encryption, secure cloud storage, and advanced access control to protect your documents and maintain regulatory compliance.
How to fill out conference proceedings book
How to fill out conference proceedings book
01
Gather all necessary information such as title, authors, abstracts, and keywords.
02
Format the document according to the specific guidelines provided by the conference organizers.
03
Include any required sections such as introduction, methodology, results, discussion, and conclusion.
04
Make sure to properly cite any references used in the proceedings.
05
Proofread the document for any errors before submitting it for publication.
Who needs conference proceedings book?
01
Researchers and academics who want to share their research findings with a wider audience.
02
Conference attendees who want a comprehensive overview of the research presented at the conference.
03
Libraries and institutions that want to archive and provide access to conference research for future reference.
Fill
form
: Try Risk Free
For pdfFiller’s FAQs
Below is a list of the most common customer questions. If you can’t find an answer to your question, please don’t hesitate to reach out to us.
How do I execute conference proceedings book online?
pdfFiller has made filling out and eSigning conference proceedings book easy. The solution is equipped with a set of features that enable you to edit and rearrange PDF content, add fillable fields, and eSign the document. Start a free trial to explore all the capabilities of pdfFiller, the ultimate document editing solution.
Can I sign the conference proceedings book electronically in Chrome?
You certainly can. You get not just a feature-rich PDF editor and fillable form builder with pdfFiller, but also a robust e-signature solution that you can add right to your Chrome browser. You may use our addon to produce a legally enforceable eSignature by typing, sketching, or photographing your signature with your webcam. Choose your preferred method and eSign your conference proceedings book in minutes.
Can I create an eSignature for the conference proceedings book in Gmail?
It's easy to make your eSignature with pdfFiller, and then you can sign your conference proceedings book right from your Gmail inbox with the help of pdfFiller's add-on for Gmail. This is a very important point: You must sign up for an account so that you can save your signatures and signed documents.
What is conference proceedings book?
Conference proceedings book is a collection of papers presented at a conference or symposium.
Who is required to file conference proceedings book?
The organizers or hosts of the conference are typically required to file the conference proceedings book.
How to fill out conference proceedings book?
Conference proceedings book can be filled out by compiling all the papers presented at the conference and organizing them into a book format.
What is the purpose of conference proceedings book?
The purpose of conference proceedings book is to document the research and discussions presented at the conference for future reference.
What information must be reported on conference proceedings book?
Conference proceedings book should include details such as the title of the conference, names of presenters, abstracts of papers, and any relevant references.
Fill out your conference proceedings book online with pdfFiller!
pdfFiller is an end-to-end solution for managing, creating, and editing documents and forms in the cloud. Save time and hassle by preparing your tax forms online.
Conference Proceedings Book is not the form you're looking for?Search for another form here.
Relevant keywords
Related Forms
If you believe that this page should be taken down, please follow our DMCA take down process
here
.
This form may include fields for payment information. Data entered in these fields is not covered by PCI DSS compliance.