Get the free Mentoring in Research-focused Doctoral Nursing ... - nursing ufl
Show details
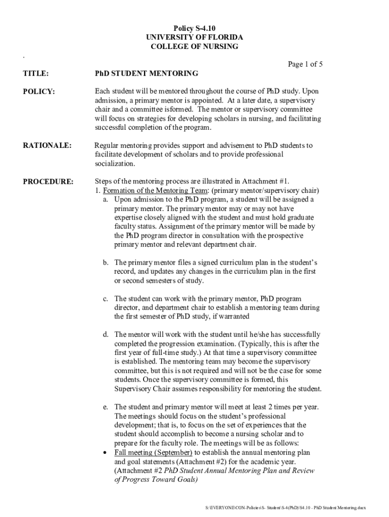
. Policy S4.10 UNIVERSITY OF FLORIDA COLLEGE OF NURSING Page 1 of 5TITLE:PhD STUDENT MENTORINGPOLICY:Each student will be mentored throughout the course of PhD study. Upon admission, a primary mentor
We are not affiliated with any brand or entity on this form
Get, Create, Make and Sign mentoring in research-focused doctoral
Edit your mentoring in research-focused doctoral form online
Type text, complete fillable fields, insert images, highlight or blackout data for discretion, add comments, and more.
Add your legally-binding signature
Draw or type your signature, upload a signature image, or capture it with your digital camera.
Share your form instantly
Email, fax, or share your mentoring in research-focused doctoral form via URL. You can also download, print, or export forms to your preferred cloud storage service.
Editing mentoring in research-focused doctoral online
To use the professional PDF editor, follow these steps:
1
Create an account. Begin by choosing Start Free Trial and, if you are a new user, establish a profile.
2
Prepare a file. Use the Add New button. Then upload your file to the system from your device, importing it from internal mail, the cloud, or by adding its URL.
3
Edit mentoring in research-focused doctoral. Replace text, adding objects, rearranging pages, and more. Then select the Documents tab to combine, divide, lock or unlock the file.
4
Save your file. Select it in the list of your records. Then, move the cursor to the right toolbar and choose one of the available exporting methods: save it in multiple formats, download it as a PDF, send it by email, or store it in the cloud.
It's easier to work with documents with pdfFiller than you can have believed. You can sign up for an account to see for yourself.
Uncompromising security for your PDF editing and eSignature needs
Your private information is safe with pdfFiller. We employ end-to-end encryption, secure cloud storage, and advanced access control to protect your documents and maintain regulatory compliance.
How to fill out mentoring in research-focused doctoral
How to fill out mentoring in research-focused doctoral
01
Find a mentor who is experienced in research-focused doctoral studies.
02
Have regular meetings with your mentor to discuss your progress and any challenges you may be facing.
03
Set goals with your mentor to help guide your research and academic development.
04
Follow through on any advice or suggestions given by your mentor to improve your research skills.
05
Utilize your mentor's network and resources to enhance your research opportunities.
Who needs mentoring in research-focused doctoral?
01
Students pursuing a research-focused doctoral degree.
02
Students who are looking for guidance and support in their research projects.
03
Students who want to develop their research skills and knowledge.
Fill
form
: Try Risk Free
For pdfFiller’s FAQs
Below is a list of the most common customer questions. If you can’t find an answer to your question, please don’t hesitate to reach out to us.
How can I send mentoring in research-focused doctoral to be eSigned by others?
Once you are ready to share your mentoring in research-focused doctoral, you can easily send it to others and get the eSigned document back just as quickly. Share your PDF by email, fax, text message, or USPS mail, or notarize it online. You can do all of this without ever leaving your account.
How do I fill out mentoring in research-focused doctoral using my mobile device?
On your mobile device, use the pdfFiller mobile app to complete and sign mentoring in research-focused doctoral. Visit our website (https://edit-pdf-ios-android.pdffiller.com/) to discover more about our mobile applications, the features you'll have access to, and how to get started.
How do I complete mentoring in research-focused doctoral on an Android device?
On Android, use the pdfFiller mobile app to finish your mentoring in research-focused doctoral. Adding, editing, deleting text, signing, annotating, and more are all available with the app. All you need is a smartphone and internet.
What is mentoring in research-focused doctoral?
Mentoring in research-focused doctoral programs involves guidance and support from experienced faculty members to help students navigate their research projects and academic careers.
Who is required to file mentoring in research-focused doctoral?
Students enrolled in research-focused doctoral programs are typically required to document their mentoring relationships.
How to fill out mentoring in research-focused doctoral?
Students can fill out mentoring reports by documenting their interactions with faculty mentors, outlining goals and progress, and seeking feedback on their research.
What is the purpose of mentoring in research-focused doctoral?
The purpose of mentoring in research-focused doctoral programs is to provide students with support, guidance, and resources to help them succeed in their academic and research endeavors.
What information must be reported on mentoring in research-focused doctoral?
Mentoring reports typically include details about mentor meetings, progress towards research goals, feedback received, and any challenges faced by the student.
Fill out your mentoring in research-focused doctoral online with pdfFiller!
pdfFiller is an end-to-end solution for managing, creating, and editing documents and forms in the cloud. Save time and hassle by preparing your tax forms online.
Mentoring In Research-Focused Doctoral is not the form you're looking for?Search for another form here.
Relevant keywords
Related Forms
If you believe that this page should be taken down, please follow our DMCA take down process
here
.
This form may include fields for payment information. Data entered in these fields is not covered by PCI DSS compliance.