
Get the free Montgomery County Community College: Home
Show details
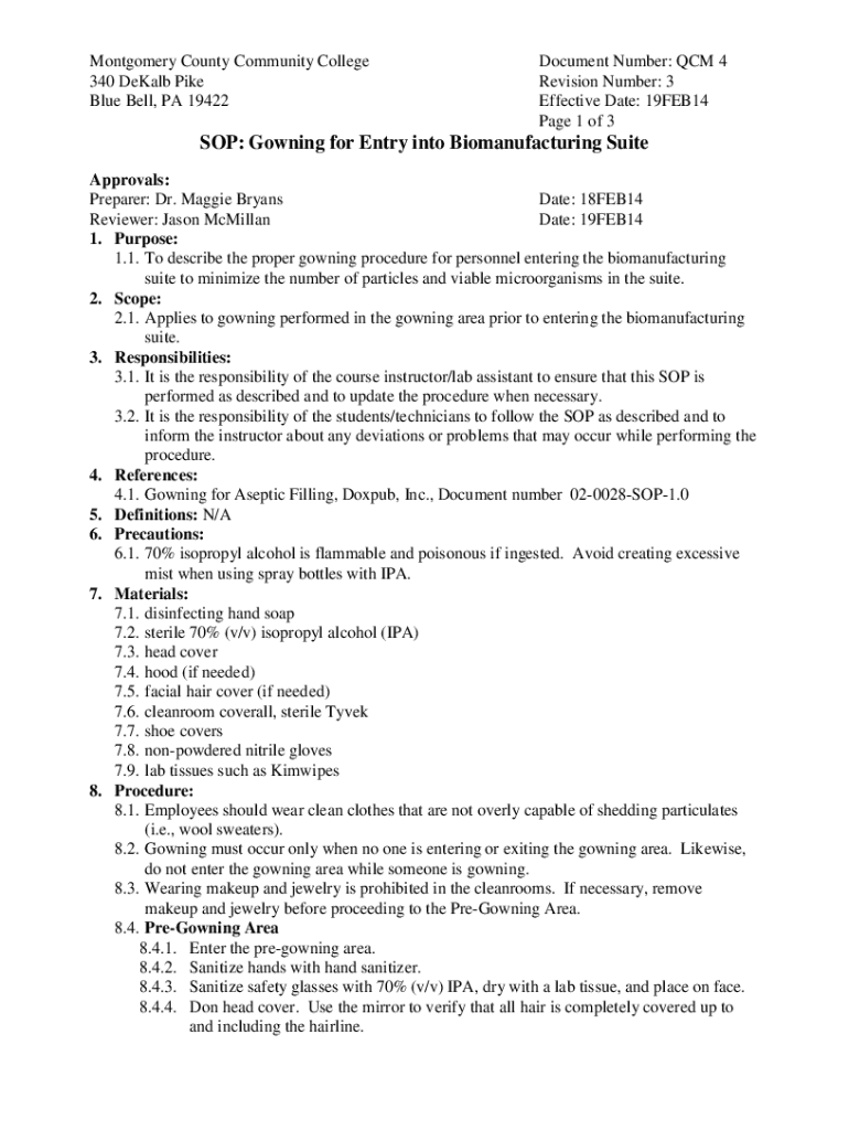
Montgomery County Community College 340 DeKalb Pike Blue Bell, PA 19422Document Number: QCM 4 Revision Number: 3 Effective Date: 19FEB14 Page 1 of 3SOP: Gowning for Entry into Biomanufacturing Suite
We are not affiliated with any brand or entity on this form
Get, Create, Make and Sign montgomery county community college

Edit your montgomery county community college form online
Type text, complete fillable fields, insert images, highlight or blackout data for discretion, add comments, and more.

Add your legally-binding signature
Draw or type your signature, upload a signature image, or capture it with your digital camera.

Share your form instantly
Email, fax, or share your montgomery county community college form via URL. You can also download, print, or export forms to your preferred cloud storage service.
Editing montgomery county community college online
Follow the steps below to take advantage of the professional PDF editor:
1
Set up an account. If you are a new user, click Start Free Trial and establish a profile.
2
Upload a document. Select Add New on your Dashboard and transfer a file into the system in one of the following ways: by uploading it from your device or importing from the cloud, web, or internal mail. Then, click Start editing.
3
Edit montgomery county community college. Rearrange and rotate pages, add and edit text, and use additional tools. To save changes and return to your Dashboard, click Done. The Documents tab allows you to merge, divide, lock, or unlock files.
4
Get your file. Select the name of your file in the docs list and choose your preferred exporting method. You can download it as a PDF, save it in another format, send it by email, or transfer it to the cloud.
pdfFiller makes working with documents easier than you could ever imagine. Register for an account and see for yourself!
Uncompromising security for your PDF editing and eSignature needs
Your private information is safe with pdfFiller. We employ end-to-end encryption, secure cloud storage, and advanced access control to protect your documents and maintain regulatory compliance.
How to fill out montgomery county community college

How to fill out montgomery county community college
01
Visit the Montgomery County Community College website
02
Click on the 'Apply Now' button
03
Create an account or login if you already have one
04
Fill out the application form with your personal and academic information
05
Submit any required documents, such as transcripts or test scores
06
Pay the application fee, if necessary
07
Review your application before submitting
Who needs montgomery county community college?
01
High school students looking to start their college education
02
Adults looking to further their education or change careers
03
Individuals looking to take individual courses for personal or professional development
Fill
form
: Try Risk Free
For pdfFiller’s FAQs
Below is a list of the most common customer questions. If you can’t find an answer to your question, please don’t hesitate to reach out to us.
How can I fill out montgomery county community college on an iOS device?
Install the pdfFiller app on your iOS device to fill out papers. Create an account or log in if you already have one. After registering, upload your montgomery county community college. You may now use pdfFiller's advanced features like adding fillable fields and eSigning documents from any device, anywhere.
Can I edit montgomery county community college on an Android device?
You can make any changes to PDF files, such as montgomery county community college, with the help of the pdfFiller mobile app for Android. Edit, sign, and send documents right from your mobile device. Install the app and streamline your document management wherever you are.
How do I complete montgomery county community college on an Android device?
Use the pdfFiller mobile app to complete your montgomery county community college on an Android device. The application makes it possible to perform all needed document management manipulations, like adding, editing, and removing text, signing, annotating, and more. All you need is your smartphone and an internet connection.
What is montgomery county community college?
Montgomery County Community College is a public community college located in Blue Bell, Pennsylvania.
Who is required to file montgomery county community college?
Students and faculty of Montgomery County Community College are required to file various forms related to enrollment, course registration, and financial aid.
How to fill out montgomery county community college?
To fill out forms for Montgomery County Community College, students can access the college's online portal or visit the registrar's office in person.
What is the purpose of montgomery county community college?
The purpose of Montgomery County Community College is to provide accessible and affordable education to the residents of Montgomery County and beyond.
What information must be reported on montgomery county community college?
Information such as personal details, academic records, and financial aid information must be reported on forms for Montgomery County Community College.
Fill out your montgomery county community college online with pdfFiller!
pdfFiller is an end-to-end solution for managing, creating, and editing documents and forms in the cloud. Save time and hassle by preparing your tax forms online.

Montgomery County Community College is not the form you're looking for?Search for another form here.
Relevant keywords
Related Forms
If you believe that this page should be taken down, please follow our DMCA take down process
here
.
This form may include fields for payment information. Data entered in these fields is not covered by PCI DSS compliance.