Form preview

Get the free SB 423 WSD. SB 423 WSD

Get Form
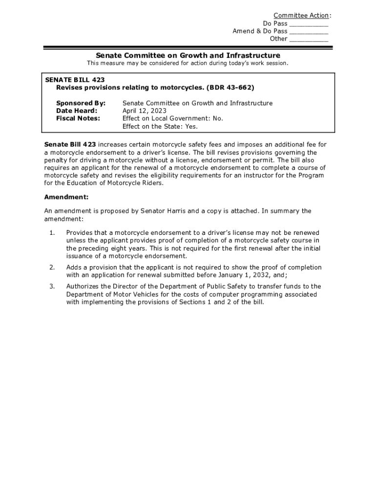
Committee Action: Do Pass ___ Amend & Do Pass ___ Other ___Senate Committee on Growth and Infrastructures measure may be considered for action during today's work session. SENATE BILL 423 Revises
We are not affiliated with any brand or entity on this form

Get, Create, Make and Sign sb 423 wsd sb

Edit
Edit your sb 423 wsd sb form online
Type text, complete fillable fields, insert images, highlight or blackout data for discretion, add comments, and more.
Add
Add your legally-binding signature
Draw or type your signature, upload a signature image, or capture it with your digital camera.
Share
Share your form instantly
Email, fax, or share your sb 423 wsd sb form via URL. You can also download, print, or export forms to your preferred cloud storage service.

Editing sb 423 wsd sb online

9.5
Ease of Setup
pdfFiller User Ratings on G2
9.0
Ease of Use
pdfFiller User Ratings on G2
To use the professional PDF editor, follow these steps:
1
Create an account. Begin by choosing Start Free Trial and, if you are a new user, establish a profile.
2
Upload a file. Select Add New on your Dashboard and upload a file from your device or import it from the cloud, online, or internal mail. Then click Edit.
3
Edit sb 423 wsd sb. Rearrange and rotate pages, add and edit text, and use additional tools. To save changes and return to your Dashboard, click Done. The Documents tab allows you to merge, divide, lock, or unlock files.
4
Get your file. Select the name of your file in the docs list and choose your preferred exporting method. You can download it as a PDF, save it in another format, send it by email, or transfer it to the cloud.
pdfFiller makes dealing with documents a breeze. Create an account to find out!

Uncompromising security for your PDF editing and eSignature needs

Your private information is safe with pdfFiller. We employ end-to-end encryption, secure cloud storage, and advanced access control to protect your documents and maintain regulatory compliance.
GDPR
AICPA SOC 2
PCI
HIPAA
CCPA
FDA

How to fill out sb 423 wsd sb

Illustration

How to fill out sb 423 wsd sb

01
Download the SB 423 WSD SB form from the appropriate website or source.
02
Fill out all the required fields on the form including personal information, details of the issue, and any supporting documents.
03
Double-check the form for accuracy and completeness before submitting.
04
Submit the filled-out form through the designated channel or to the relevant authorities.

Who needs sb 423 wsd sb?

01
Individuals who have experienced workplace discrimination, harassment, or unfair treatment
02
Employees seeking legal recourse for wrongful termination or denial of benefits
03
Victims of wage theft or labor law violations
Fill form : Try Risk Free
Users Most Likely To Recommend - Summer 2025
Grid Leader in Small-Business - Summer 2025
High Performer - Summer 2025
Regional Leader - Summer 2025
Easiest To Do Business With - Summer 2025
Best Meets Requirements- Summer 2025
Rate the form
4.8
Satisfied
54 Votes

For pdfFiller’s FAQs

Below is a list of the most common customer questions. If you can’t find an answer to your question, please don’t hesitate to reach out to us.

With pdfFiller, the editing process is straightforward. Open your sb 423 wsd sb in the editor, which is highly intuitive and easy to use. There, you’ll be able to blackout, redact, type, and erase text, add images, draw arrows and lines, place sticky notes and text boxes, and much more.
Install the pdfFiller Google Chrome Extension to edit sb 423 wsd sb and other documents straight from Google search results. When reading documents in Chrome, you may edit them. Create fillable PDFs and update existing PDFs using pdfFiller.
The pdfFiller app for Android allows you to edit PDF files like sb 423 wsd sb. Mobile document editing, signing, and sending. Install the app to ease document management anywhere.
SB 423 WSD SB is a form used for reporting specific information to the relevant authorities.
Individuals or entities who meet certain criteria set by the authorities are required to file SB 423 WSD SB.
SB 423 WSD SB can be filled out by providing the requested information in the designated fields of the form.
The purpose of SB 423 WSD SB is to collect specific data for regulatory or compliance purposes.
SB 423 WSD SB typically requires information such as personal details, financial data, and other relevant information.
Fill out your sb 423 wsd sb online with pdfFiller!

pdfFiller is an end-to-end solution for managing, creating, and editing documents and forms in the cloud. Save time and hassle by preparing your tax forms online.

Get started now
Form preview
If you believe that this page should be taken down, please follow our DMCA take down process here .
This form may include fields for payment information. Data entered in these fields is not covered by PCI DSS compliance.