Get the free Indiana Social Worker, Marriage and Family Therapist and ...
Show details
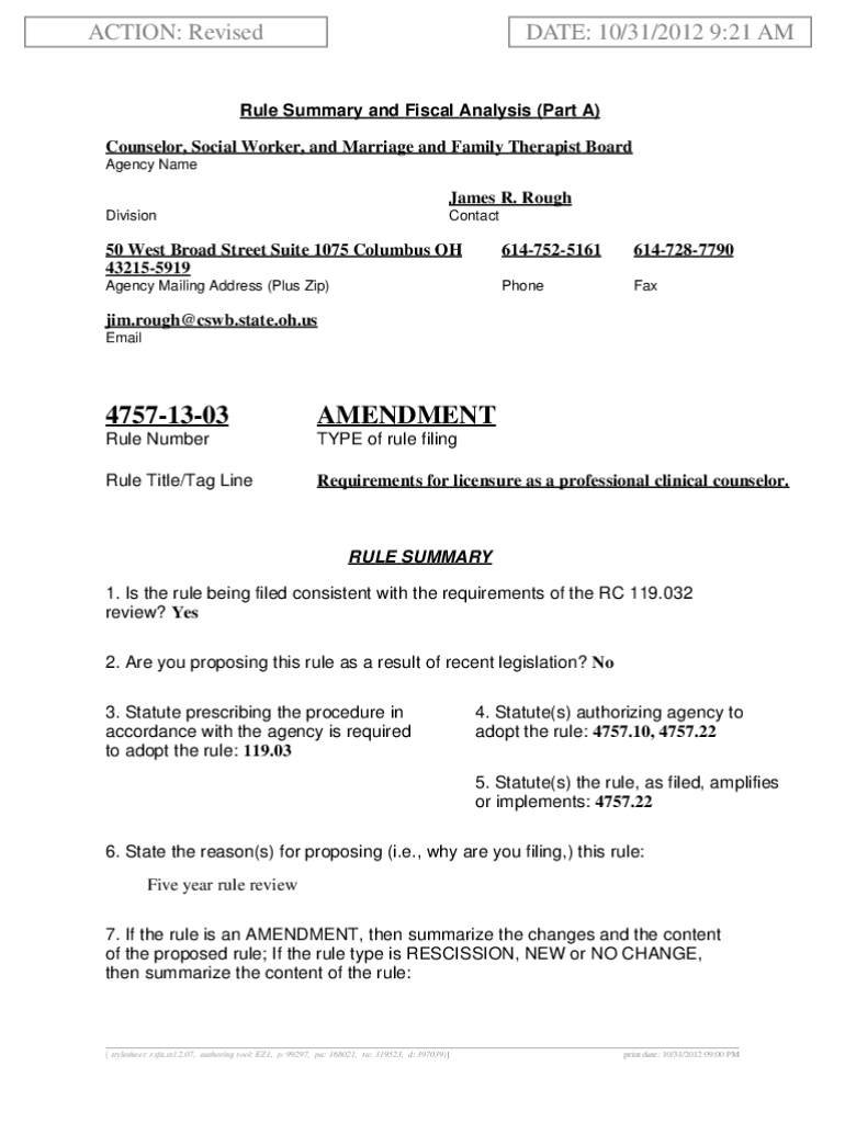
ACTION: RevisedDATE: 10/31/2012 9:21 Ampule Summary and Fiscal Analysis (Part A)
Counselor, Social Worker, and Marriage and Family Therapist Board
Agency Name James R. Rough
DivisionContact50 West
We are not affiliated with any brand or entity on this form
Get, Create, Make and Sign indiana social worker marriage
Edit your indiana social worker marriage form online
Type text, complete fillable fields, insert images, highlight or blackout data for discretion, add comments, and more.
Add your legally-binding signature
Draw or type your signature, upload a signature image, or capture it with your digital camera.
Share your form instantly
Email, fax, or share your indiana social worker marriage form via URL. You can also download, print, or export forms to your preferred cloud storage service.
Editing indiana social worker marriage online
Follow the guidelines below to use a professional PDF editor:
1
Create an account. Begin by choosing Start Free Trial and, if you are a new user, establish a profile.
2
Upload a document. Select Add New on your Dashboard and transfer a file into the system in one of the following ways: by uploading it from your device or importing from the cloud, web, or internal mail. Then, click Start editing.
3
Edit indiana social worker marriage. Add and change text, add new objects, move pages, add watermarks and page numbers, and more. Then click Done when you're done editing and go to the Documents tab to merge or split the file. If you want to lock or unlock the file, click the lock or unlock button.
4
Save your file. Select it from your list of records. Then, move your cursor to the right toolbar and choose one of the exporting options. You can save it in multiple formats, download it as a PDF, send it by email, or store it in the cloud, among other things.
Dealing with documents is always simple with pdfFiller.
Uncompromising security for your PDF editing and eSignature needs
Your private information is safe with pdfFiller. We employ end-to-end encryption, secure cloud storage, and advanced access control to protect your documents and maintain regulatory compliance.
How to fill out indiana social worker marriage
How to fill out indiana social worker marriage
01
Obtain the necessary application form from the Indiana State Board of Social Work.
02
Complete the form with accurate information about your personal details and social work qualifications.
03
Attach any required documents, such as proof of education and experience, along with the application form.
04
Submit the completed application form and supporting documents to the Indiana State Board of Social Work for review.
05
Pay any applicable fees for the marriage license.
Who needs indiana social worker marriage?
01
Individuals who are licensed social workers in the state of Indiana and wish to legally marry under the title of 'social worker marriage'.
Fill
form
: Try Risk Free
For pdfFiller’s FAQs
Below is a list of the most common customer questions. If you can’t find an answer to your question, please don’t hesitate to reach out to us.
How can I edit indiana social worker marriage from Google Drive?
People who need to keep track of documents and fill out forms quickly can connect PDF Filler to their Google Docs account. This means that they can make, edit, and sign documents right from their Google Drive. Make your indiana social worker marriage into a fillable form that you can manage and sign from any internet-connected device with this add-on.
How do I edit indiana social worker marriage straight from my smartphone?
You can easily do so with pdfFiller's apps for iOS and Android devices, which can be found at the Apple Store and the Google Play Store, respectively. You can use them to fill out PDFs. We have a website where you can get the app, but you can also get it there. When you install the app, log in, and start editing indiana social worker marriage, you can start right away.
How do I fill out the indiana social worker marriage form on my smartphone?
Use the pdfFiller mobile app to complete and sign indiana social worker marriage on your mobile device. Visit our web page (https://edit-pdf-ios-android.pdffiller.com/) to learn more about our mobile applications, the capabilities you’ll have access to, and the steps to take to get up and running.
What is indiana social worker marriage?
Indiana social worker marriage refers to the legal union between two individuals working as social workers in the state of Indiana.
Who is required to file indiana social worker marriage?
All social workers practicing in Indiana who wish to legally marry another individual are required to file for an Indiana social worker marriage.
How to fill out indiana social worker marriage?
To fill out an Indiana social worker marriage application, individuals must provide their personal information, information about their partner, and any additional documentation required by the state.
What is the purpose of indiana social worker marriage?
The purpose of Indiana social worker marriage is to legally recognize the union between two social workers, providing them with the rights and benefits of marriage.
What information must be reported on indiana social worker marriage?
Information such as names, addresses, occupations, and any previous marriage information of the individuals applying for an Indiana social worker marriage must be reported.
Fill out your indiana social worker marriage online with pdfFiller!
pdfFiller is an end-to-end solution for managing, creating, and editing documents and forms in the cloud. Save time and hassle by preparing your tax forms online.
Indiana Social Worker Marriage is not the form you're looking for?Search for another form here.
Relevant keywords
Related Forms
If you believe that this page should be taken down, please follow our DMCA take down process
here
.
This form may include fields for payment information. Data entered in these fields is not covered by PCI DSS compliance.