Form preview

Get the free Contest of two or more wills, Ind. Code29-1-7-17.5

Get Form
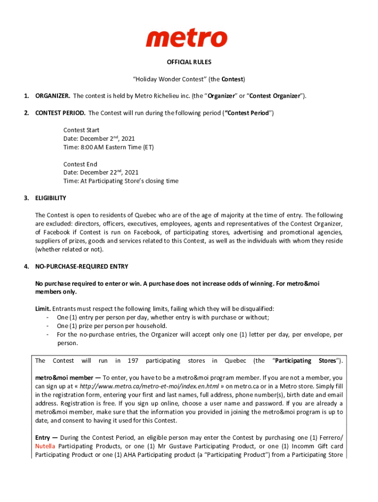
OFFICIAL RULES Holiday Wonder Contest (the Contest) 1. ORGANIZER. The contest is held by Metro Richelieu inc. (the Organizer or Contest Organizer). 2. CONTEST PERIOD. The Contest will run during the
We are not affiliated with any brand or entity on this form

Get, Create, Make and Sign contest of two or

Edit
Edit your contest of two or form online
Type text, complete fillable fields, insert images, highlight or blackout data for discretion, add comments, and more.
Add
Add your legally-binding signature
Draw or type your signature, upload a signature image, or capture it with your digital camera.
Share
Share your form instantly
Email, fax, or share your contest of two or form via URL. You can also download, print, or export forms to your preferred cloud storage service.

Editing contest of two or online

9.5
Ease of Setup
pdfFiller User Ratings on G2
9.0
Ease of Use
pdfFiller User Ratings on G2
Follow the guidelines below to take advantage of the professional PDF editor:
1
Check your account. If you don't have a profile yet, click Start Free Trial and sign up for one.
2
Prepare a file. Use the Add New button. Then upload your file to the system from your device, importing it from internal mail, the cloud, or by adding its URL.
3
Edit contest of two or. Rearrange and rotate pages, add and edit text, and use additional tools. To save changes and return to your Dashboard, click Done. The Documents tab allows you to merge, divide, lock, or unlock files.
4
Save your file. Select it from your list of records. Then, move your cursor to the right toolbar and choose one of the exporting options. You can save it in multiple formats, download it as a PDF, send it by email, or store it in the cloud, among other things.
It's easier to work with documents with pdfFiller than you could have believed. You can sign up for an account to see for yourself.

Uncompromising security for your PDF editing and eSignature needs

Your private information is safe with pdfFiller. We employ end-to-end encryption, secure cloud storage, and advanced access control to protect your documents and maintain regulatory compliance.
GDPR
AICPA SOC 2
PCI
HIPAA
CCPA
FDA

How to fill out contest of two or

Illustration

How to fill out contest of two or

01
Start by reading the rules and guidelines of the contest of two.
02
Gather all the required information and materials such as your personal details and entry submission.
03
Fill out the entry form accurately and legibly, making sure not to leave any required fields blank.
04
Double-check your entry for any errors or missing information before submitting it.
05
Submit your completed entry before the deadline specified in the contest of two rules.

Who needs contest of two or?

01
Anyone who wants to participate in the contest of two and meet the eligibility criteria.
02
People who have the skills or talents required for the contest and want to showcase them.
03
Individuals who enjoy competition and the chance to win prizes or recognition.
Fill form : Try Risk Free
Users Most Likely To Recommend - Summer 2025
Grid Leader in Small-Business - Summer 2025
High Performer - Summer 2025
Regional Leader - Summer 2025
Easiest To Do Business With - Summer 2025
Best Meets Requirements- Summer 2025
Rate the form
4.9
Satisfied
44 Votes

For pdfFiller’s FAQs

Below is a list of the most common customer questions. If you can’t find an answer to your question, please don’t hesitate to reach out to us.

Completing and signing contest of two or online is easy with pdfFiller. It enables you to edit original PDF content, highlight, blackout, erase and type text anywhere on a page, legally eSign your form, and much more. Create your free account and manage professional documents on the web.
pdfFiller allows you to edit not only the content of your files, but also the quantity and sequence of the pages. Upload your contest of two or to the editor and make adjustments in a matter of seconds. Text in PDFs may be blacked out, typed in, and erased using the editor. You may also include photos, sticky notes, and text boxes, among other things.
On Android, use the pdfFiller mobile app to finish your contest of two or. Adding, editing, deleting text, signing, annotating, and more are all available with the app. All you need is a smartphone and internet.
Contest of two or is a legal procedure where two or more parties claim the same right or interest in a property.
Any party who believes they have a legitimate claim to a property against another party.
The contest of two or should be filled out with detailed information regarding the claim, evidence supporting the claim, and contact information of the parties involved.
The purpose of contest of two or is to resolve disputes and determine rightful ownership or interest in a property.
The contest of two or must include the names of the parties involved, the description of the property, the nature of the claim, and any supporting evidence.
Fill out your contest of two or online with pdfFiller!

pdfFiller is an end-to-end solution for managing, creating, and editing documents and forms in the cloud. Save time and hassle by preparing your tax forms online.

Get started now
Form preview
If you believe that this page should be taken down, please follow our DMCA take down process here .
This form may include fields for payment information. Data entered in these fields is not covered by PCI DSS compliance.