
Get the free Lily-of-the-Valley Award Criteria Form
Show details
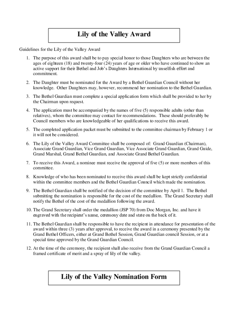
Lily of the Valley Award
Guidelines for the Lily of the Valley Award
1. The purpose of this award shall be to pay special honor to those Daughters who are between the
ages of eighteen (18) and twenty-four
We are not affiliated with any brand or entity on this form
Get, Create, Make and Sign lily-of-form-valley award criteria form

Edit your lily-of-form-valley award criteria form form online
Type text, complete fillable fields, insert images, highlight or blackout data for discretion, add comments, and more.

Add your legally-binding signature
Draw or type your signature, upload a signature image, or capture it with your digital camera.

Share your form instantly
Email, fax, or share your lily-of-form-valley award criteria form form via URL. You can also download, print, or export forms to your preferred cloud storage service.
Editing lily-of-form-valley award criteria form online
Follow the guidelines below to benefit from the PDF editor's expertise:
1
Check your account. In case you're new, it's time to start your free trial.
2
Simply add a document. Select Add New from your Dashboard and import a file into the system by uploading it from your device or importing it via the cloud, online, or internal mail. Then click Begin editing.
3
Edit lily-of-form-valley award criteria form. Rearrange and rotate pages, add new and changed texts, add new objects, and use other useful tools. When you're done, click Done. You can use the Documents tab to merge, split, lock, or unlock your files.
4
Save your file. Select it from your list of records. Then, move your cursor to the right toolbar and choose one of the exporting options. You can save it in multiple formats, download it as a PDF, send it by email, or store it in the cloud, among other things.
pdfFiller makes working with documents easier than you could ever imagine. Create an account to find out for yourself how it works!
Uncompromising security for your PDF editing and eSignature needs
Your private information is safe with pdfFiller. We employ end-to-end encryption, secure cloud storage, and advanced access control to protect your documents and maintain regulatory compliance.
How to fill out lily-of-form-valley award criteria form

How to fill out lily-of-form-valley award criteria form
01
Read the instructions provided on the form carefully.
02
Fill out your personal information such as name, address, and contact details.
03
Provide information about your achievements and contributions related to the award criteria.
04
Double-check the form for any errors or missing information before submitting.
Who needs lily-of-form-valley award criteria form?
01
Individuals or organizations who are eligible and wish to apply for the lily-of-form-valley award.
Fill
form
: Try Risk Free
For pdfFiller’s FAQs
Below is a list of the most common customer questions. If you can’t find an answer to your question, please don’t hesitate to reach out to us.
How can I get lily-of-form-valley award criteria form?
It’s easy with pdfFiller, a comprehensive online solution for professional document management. Access our extensive library of online forms (over 25M fillable forms are available) and locate the lily-of-form-valley award criteria form in a matter of seconds. Open it right away and start customizing it using advanced editing features.
How do I complete lily-of-form-valley award criteria form online?
Easy online lily-of-form-valley award criteria form completion using pdfFiller. Also, it allows you to legally eSign your form and change original PDF material. Create a free account and manage documents online.
How can I edit lily-of-form-valley award criteria form on a smartphone?
The easiest way to edit documents on a mobile device is using pdfFiller’s mobile-native apps for iOS and Android. You can download those from the Apple Store and Google Play, respectively. You can learn more about the apps here. Install and log in to the application to start editing lily-of-form-valley award criteria form.
What is lily-of-form-valley award criteria form?
The lily-of-form-valley award criteria form is a document used to evaluate candidates for a prestigious award named lily-of-form-valley.
Who is required to file lily-of-form-valley award criteria form?
Individuals or organizations wishing to nominate a candidate for the lily-of-form-valley award are required to file the award criteria form.
How to fill out lily-of-form-valley award criteria form?
The lily-of-form-valley award criteria form can be filled out by providing information about the candidate's accomplishments, qualifications, and reasons for nomination.
What is the purpose of lily-of-form-valley award criteria form?
The purpose of the lily-of-form-valley award criteria form is to assess the suitability of candidates for the prestigious lily-of-form-valley award.
What information must be reported on lily-of-form-valley award criteria form?
Information such as the candidate's background, achievements, contributions, and supporting documents must be reported on the lily-of-form-valley award criteria form.
Fill out your lily-of-form-valley award criteria form online with pdfFiller!
pdfFiller is an end-to-end solution for managing, creating, and editing documents and forms in the cloud. Save time and hassle by preparing your tax forms online.

Lily-Of-Form-Valley Award Criteria Form is not the form you're looking for?Search for another form here.
Relevant keywords
Related Forms
If you believe that this page should be taken down, please follow our DMCA take down process
here
.
This form may include fields for payment information. Data entered in these fields is not covered by PCI DSS compliance.