
Get the free St Clair County Health Department - Port Huron, Michigan
Show details
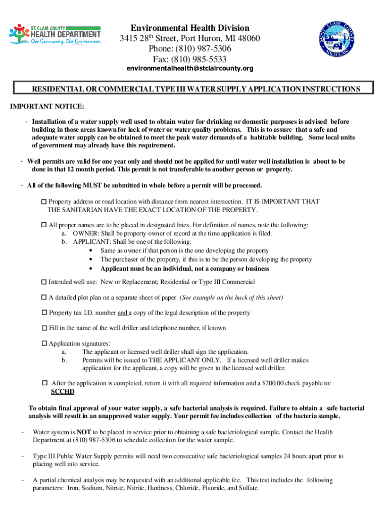
Environmental Health Division 3415 28th Street, Port Huron, MI 48060 Phone: (810) 9875306 Fax: (810) 9855533 environmentalhealth@stclaircounty.orgRESIDENTIAL OR COMMERCIAL TYPE III WATER SUPPLY APPLICATION
We are not affiliated with any brand or entity on this form
Get, Create, Make and Sign st clair county health

Edit your st clair county health form online
Type text, complete fillable fields, insert images, highlight or blackout data for discretion, add comments, and more.

Add your legally-binding signature
Draw or type your signature, upload a signature image, or capture it with your digital camera.

Share your form instantly
Email, fax, or share your st clair county health form via URL. You can also download, print, or export forms to your preferred cloud storage service.
Editing st clair county health online
In order to make advantage of the professional PDF editor, follow these steps below:
1
Sign into your account. It's time to start your free trial.
2
Prepare a file. Use the Add New button to start a new project. Then, using your device, upload your file to the system by importing it from internal mail, the cloud, or adding its URL.
3
Edit st clair county health. Add and replace text, insert new objects, rearrange pages, add watermarks and page numbers, and more. Click Done when you are finished editing and go to the Documents tab to merge, split, lock or unlock the file.
4
Save your file. Choose it from the list of records. Then, shift the pointer to the right toolbar and select one of the several exporting methods: save it in multiple formats, download it as a PDF, email it, or save it to the cloud.
Uncompromising security for your PDF editing and eSignature needs
Your private information is safe with pdfFiller. We employ end-to-end encryption, secure cloud storage, and advanced access control to protect your documents and maintain regulatory compliance.
How to fill out st clair county health

How to fill out st clair county health
01
Visit the St Clair County Health Department website
02
Locate the relevant forms for the health services you need
03
Fill out the forms accurately and completely
04
Submit the forms either online or in person at the St Clair County Health Department office
Who needs st clair county health?
01
Residents of St Clair County who require health services or assistance
Fill
form
: Try Risk Free
For pdfFiller’s FAQs
Below is a list of the most common customer questions. If you can’t find an answer to your question, please don’t hesitate to reach out to us.
How do I execute st clair county health online?
Completing and signing st clair county health online is easy with pdfFiller. It enables you to edit original PDF content, highlight, blackout, erase and type text anywhere on a page, legally eSign your form, and much more. Create your free account and manage professional documents on the web.
How do I edit st clair county health in Chrome?
Install the pdfFiller Google Chrome Extension in your web browser to begin editing st clair county health and other documents right from a Google search page. When you examine your documents in Chrome, you may make changes to them. With pdfFiller, you can create fillable documents and update existing PDFs from any internet-connected device.
Can I create an eSignature for the st clair county health in Gmail?
It's easy to make your eSignature with pdfFiller, and then you can sign your st clair county health right from your Gmail inbox with the help of pdfFiller's add-on for Gmail. This is a very important point: You must sign up for an account so that you can save your signatures and signed documents.
What is st clair county health?
St. Clair County Health Department is a government agency responsible for promoting and protecting the health of residents in St. Clair County, Illinois.
Who is required to file st clair county health?
Any individual or business in St. Clair County that falls under the jurisdiction of the health department may be required to file health related reports or documents.
How to fill out st clair county health?
To fill out St. Clair County Health forms, individuals or businesses should follow the instructions provided on the forms, provide accurate information, and submit them by the deadline.
What is the purpose of st clair county health?
The purpose of St. Clair County Health Department is to monitor, protect, and improve the health of the community by providing services, education, and enforcing health regulations.
What information must be reported on st clair county health?
Information that must be reported on St. Clair County Health forms may include information about health status, disease outbreaks, environmental hazards, and other health-related data.
Fill out your st clair county health online with pdfFiller!
pdfFiller is an end-to-end solution for managing, creating, and editing documents and forms in the cloud. Save time and hassle by preparing your tax forms online.

St Clair County Health is not the form you're looking for?Search for another form here.
Relevant keywords
Related Forms
If you believe that this page should be taken down, please follow our DMCA take down process
here
.
This form may include fields for payment information. Data entered in these fields is not covered by PCI DSS compliance.