
Get the free Buying Services: Mississippi Gulf Coast Community College
Show details
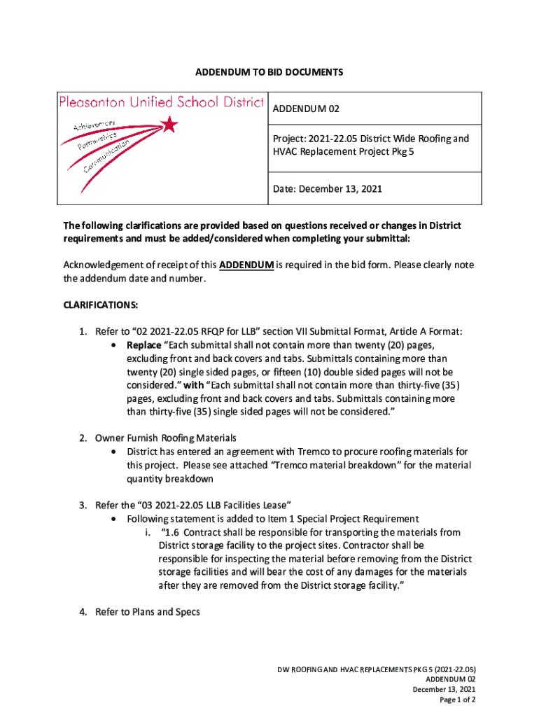
ADDENDUM TO BID DOCUMENTS ADDENDUM 02 Project: 202122.05 District Wide Roofing and HVAC Replacement Project Pkg 5 Date: December 13, 2021, The following clarifications are provided based on questions
We are not affiliated with any brand or entity on this form
Get, Create, Make and Sign buying services mississippi gulf

Edit your buying services mississippi gulf form online
Type text, complete fillable fields, insert images, highlight or blackout data for discretion, add comments, and more.

Add your legally-binding signature
Draw or type your signature, upload a signature image, or capture it with your digital camera.

Share your form instantly
Email, fax, or share your buying services mississippi gulf form via URL. You can also download, print, or export forms to your preferred cloud storage service.
Editing buying services mississippi gulf online
To use our professional PDF editor, follow these steps:
1
Register the account. Begin by clicking Start Free Trial and create a profile if you are a new user.
2
Prepare a file. Use the Add New button. Then upload your file to the system from your device, importing it from internal mail, the cloud, or by adding its URL.
3
Edit buying services mississippi gulf. Rearrange and rotate pages, add and edit text, and use additional tools. To save changes and return to your Dashboard, click Done. The Documents tab allows you to merge, divide, lock, or unlock files.
4
Save your file. Select it from your list of records. Then, move your cursor to the right toolbar and choose one of the exporting options. You can save it in multiple formats, download it as a PDF, send it by email, or store it in the cloud, among other things.
pdfFiller makes working with documents easier than you could ever imagine. Try it for yourself by creating an account!
Uncompromising security for your PDF editing and eSignature needs
Your private information is safe with pdfFiller. We employ end-to-end encryption, secure cloud storage, and advanced access control to protect your documents and maintain regulatory compliance.
How to fill out buying services mississippi gulf

How to fill out buying services mississippi gulf
01
Research different buying services available in Mississippi Gulf.
02
Choose a buying service that aligns with your needs and budget.
03
Contact the buying service to inquire about their process and fees.
04
Provide the necessary information and documentation requested by the buying service.
05
Review and sign any contracts or agreements with the buying service.
06
Follow the instructions provided by the buying service to complete the purchasing process.
Who needs buying services mississippi gulf?
01
Anyone looking to purchase goods or services in the Mississippi Gulf area can benefit from using buying services.
Fill
form
: Try Risk Free
For pdfFiller’s FAQs
Below is a list of the most common customer questions. If you can’t find an answer to your question, please don’t hesitate to reach out to us.
How do I modify my buying services mississippi gulf in Gmail?
The pdfFiller Gmail add-on lets you create, modify, fill out, and sign buying services mississippi gulf and other documents directly in your email. Click here to get pdfFiller for Gmail. Eliminate tedious procedures and handle papers and eSignatures easily.
How can I fill out buying services mississippi gulf on an iOS device?
pdfFiller has an iOS app that lets you fill out documents on your phone. A subscription to the service means you can make an account or log in to one you already have. As soon as the registration process is done, upload your buying services mississippi gulf. You can now use pdfFiller's more advanced features, like adding fillable fields and eSigning documents, as well as accessing them from any device, no matter where you are in the world.
How do I edit buying services mississippi gulf on an Android device?
With the pdfFiller Android app, you can edit, sign, and share buying services mississippi gulf on your mobile device from any place. All you need is an internet connection to do this. Keep your documents in order from anywhere with the help of the app!
What is buying services mississippi gulf?
Buying services Mississippi Gulf refers to the process of purchasing goods or services in the Mississippi Gulf region.
Who is required to file buying services mississippi gulf?
Any individual or business that purchases goods or services in the Mississippi Gulf region may be required to file buying services Mississippi Gulf.
How to fill out buying services mississippi gulf?
To fill out buying services Mississippi Gulf, individuals or businesses need to provide details of the purchases made in the Mississippi Gulf region.
What is the purpose of buying services mississippi gulf?
The purpose of buying services Mississippi Gulf is to track and report purchases made in the Mississippi Gulf region for tax or regulatory purposes.
What information must be reported on buying services mississippi gulf?
Information such as the date of purchase, the description of goods or services, the amount spent, and the vendor's details must be reported on buying services Mississippi Gulf.
Fill out your buying services mississippi gulf online with pdfFiller!
pdfFiller is an end-to-end solution for managing, creating, and editing documents and forms in the cloud. Save time and hassle by preparing your tax forms online.

Buying Services Mississippi Gulf is not the form you're looking for?Search for another form here.
Relevant keywords
Related Forms
If you believe that this page should be taken down, please follow our DMCA take down process
here
.
This form may include fields for payment information. Data entered in these fields is not covered by PCI DSS compliance.