Get the free Investing in Canada's nursing workforce post-pandemic
Show details
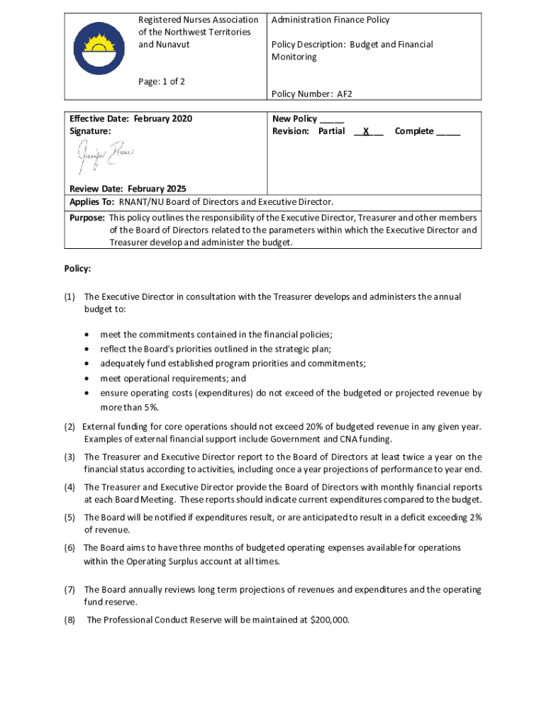
Registered Nurses Association of the Northwest Territories and Nunavut Page: 1 of 2 Effective Date: February 2020 Signature:Administration Finance Policy Description: Budget and Financial Monitoring
We are not affiliated with any brand or entity on this form
Get, Create, Make and Sign investing in canadas nursing
Edit your investing in canadas nursing form online
Type text, complete fillable fields, insert images, highlight or blackout data for discretion, add comments, and more.
Add your legally-binding signature
Draw or type your signature, upload a signature image, or capture it with your digital camera.
Share your form instantly
Email, fax, or share your investing in canadas nursing form via URL. You can also download, print, or export forms to your preferred cloud storage service.
How to edit investing in canadas nursing online
Follow the steps below to benefit from the PDF editor's expertise:
1
Log in. Click Start Free Trial and create a profile if necessary.
2
Upload a file. Select Add New on your Dashboard and upload a file from your device or import it from the cloud, online, or internal mail. Then click Edit.
3
Edit investing in canadas nursing. Rearrange and rotate pages, add new and changed texts, add new objects, and use other useful tools. When you're done, click Done. You can use the Documents tab to merge, split, lock, or unlock your files.
4
Get your file. Select your file from the documents list and pick your export method. You may save it as a PDF, email it, or upload it to the cloud.
The use of pdfFiller makes dealing with documents straightforward.
Uncompromising security for your PDF editing and eSignature needs
Your private information is safe with pdfFiller. We employ end-to-end encryption, secure cloud storage, and advanced access control to protect your documents and maintain regulatory compliance.
How to fill out investing in canadas nursing
How to fill out investing in canadas nursing
01
Research the different options for investing in Canada's nursing sector, such as stocks, mutual funds, or exchange-traded funds.
02
Consider the level of risk you are comfortable with and choose investments that align with your financial goals.
03
Open a brokerage account to start investing in Canada's nursing sector.
04
Monitor your investments regularly and make adjustments as needed to ensure your portfolio remains diversified and aligned with your objectives.
Who needs investing in canadas nursing?
01
Individuals looking to build wealth through long-term investments in a stable sector like nursing.
02
Companies or organizations interested in supporting Canada's healthcare system by investing in nursing education, research, and infrastructure.
Fill
form
: Try Risk Free
For pdfFiller’s FAQs
Below is a list of the most common customer questions. If you can’t find an answer to your question, please don’t hesitate to reach out to us.
How can I get investing in canadas nursing?
It's simple using pdfFiller, an online document management tool. Use our huge online form collection (over 25M fillable forms) to quickly discover the investing in canadas nursing. Open it immediately and start altering it with sophisticated capabilities.
Can I create an electronic signature for signing my investing in canadas nursing in Gmail?
Upload, type, or draw a signature in Gmail with the help of pdfFiller’s add-on. pdfFiller enables you to eSign your investing in canadas nursing and other documents right in your inbox. Register your account in order to save signed documents and your personal signatures.
How do I complete investing in canadas nursing on an Android device?
Complete investing in canadas nursing and other documents on your Android device with the pdfFiller app. The software allows you to modify information, eSign, annotate, and share files. You may view your papers from anywhere with an internet connection.
What is investing in Canada's nursing?
Investing in Canada's nursing refers to the allocation of resources, both financial and human, to enhance the nursing sector in Canada. This includes improving training, recruitment, and retention of nurses to ensure high-quality healthcare.
Who is required to file investing in Canada's nursing?
Individuals and organizations engaging in financial investments or providing funding specifically aimed at improving nursing services and education in Canada are required to file.
How to fill out investing in Canada's nursing?
To fill out investing in Canada's nursing, one must complete the relevant forms specified by the regulatory body, detailing the nature of the investment, its purpose, and how it aligns with nursing development goals.
What is the purpose of investing in Canada's nursing?
The purpose of investing in Canada's nursing is to enhance the quality of healthcare services, address nurse shortages, improve training programs, and ultimately ensure better patient care across the country.
What information must be reported on investing in Canada's nursing?
The report must include details about the amount of investment, intended outcomes, timelines for implementation, and metrics for measuring success in nursing improvements.
Fill out your investing in canadas nursing online with pdfFiller!
pdfFiller is an end-to-end solution for managing, creating, and editing documents and forms in the cloud. Save time and hassle by preparing your tax forms online.
Investing In Canadas Nursing is not the form you're looking for?Search for another form here.
Relevant keywords
Related Forms
If you believe that this page should be taken down, please follow our DMCA take down process
here
.
This form may include fields for payment information. Data entered in these fields is not covered by PCI DSS compliance.