Get the free Committee of Adjustment Application for 777 Simcoe Street South - app oshawa
Show details
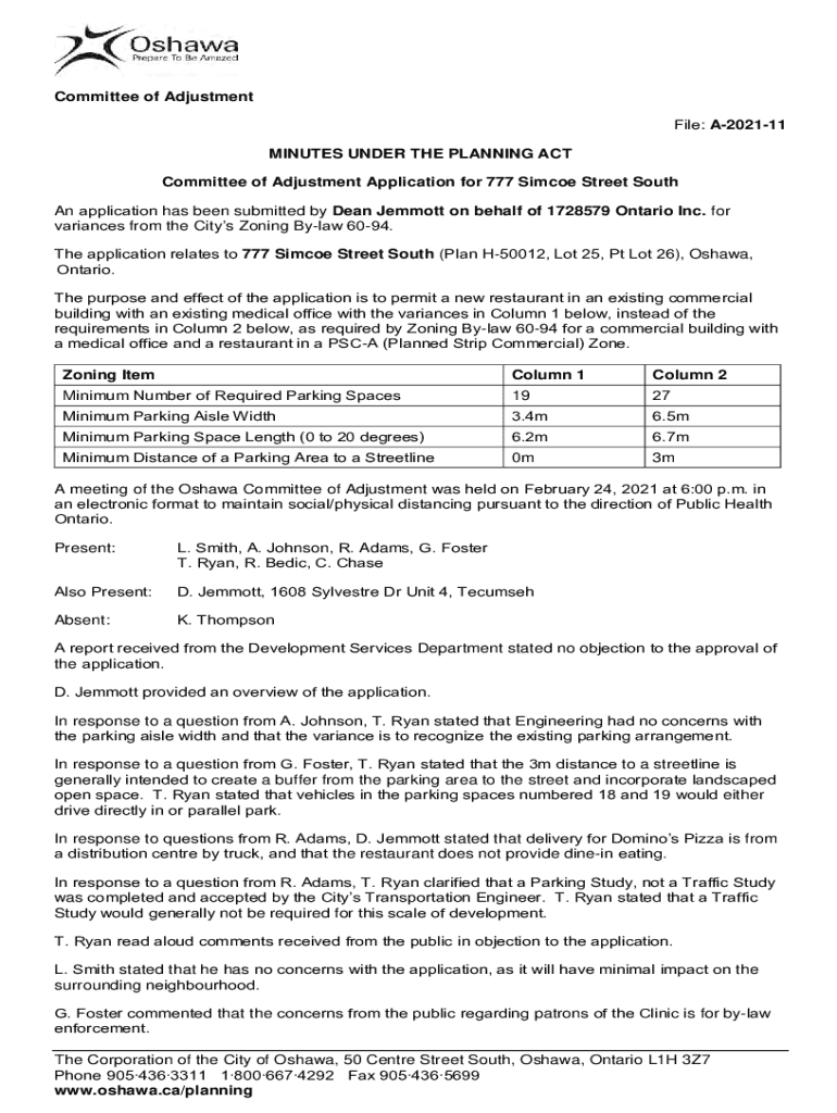
Committee of Adjustment File: A202111 MINUTES UNDER THE PLANNING ACT Committee of Adjustment Application for 777 Since Street South An application has been submitted by Dean Emmett on behalf of 1728579
We are not affiliated with any brand or entity on this form
Get, Create, Make and Sign committee of adjustment application
Edit your committee of adjustment application form online
Type text, complete fillable fields, insert images, highlight or blackout data for discretion, add comments, and more.
Add your legally-binding signature
Draw or type your signature, upload a signature image, or capture it with your digital camera.
Share your form instantly
Email, fax, or share your committee of adjustment application form via URL. You can also download, print, or export forms to your preferred cloud storage service.
How to edit committee of adjustment application online
Here are the steps you need to follow to get started with our professional PDF editor:
1
Register the account. Begin by clicking Start Free Trial and create a profile if you are a new user.
2
Prepare a file. Use the Add New button to start a new project. Then, using your device, upload your file to the system by importing it from internal mail, the cloud, or adding its URL.
3
Edit committee of adjustment application. Add and replace text, insert new objects, rearrange pages, add watermarks and page numbers, and more. Click Done when you are finished editing and go to the Documents tab to merge, split, lock or unlock the file.
4
Save your file. Select it from your records list. Then, click the right toolbar and select one of the various exporting options: save in numerous formats, download as PDF, email, or cloud.
It's easier to work with documents with pdfFiller than you could have believed. Sign up for a free account to view.
Uncompromising security for your PDF editing and eSignature needs
Your private information is safe with pdfFiller. We employ end-to-end encryption, secure cloud storage, and advanced access control to protect your documents and maintain regulatory compliance.
How to fill out committee of adjustment application
How to fill out committee of adjustment application
01
Obtain the Committee of Adjustment application form from the local planning department.
02
Fill out the application form with all necessary details such as property address, owner information, proposed changes, and reasons for the requested variance.
03
Attach any supporting documents required, such as site plans, floor plans, and letters of intent.
04
Submit the completed application form and supporting documents along with the required fee to the local planning department.
05
Attend any scheduled Committee of Adjustment meetings to present your case and answer any questions from the committee members.
Who needs committee of adjustment application?
01
Property owners who wish to make changes to their property that do not comply with existing zoning bylaws.
02
Developers or builders who are proposing new developments or alterations that require variances from zoning regulations.
03
Business owners who want to expand their operations in a way that does not conform to local zoning requirements.
Fill
form
: Try Risk Free
For pdfFiller’s FAQs
Below is a list of the most common customer questions. If you can’t find an answer to your question, please don’t hesitate to reach out to us.
How can I manage my committee of adjustment application directly from Gmail?
It's easy to use pdfFiller's Gmail add-on to make and edit your committee of adjustment application and any other documents you get right in your email. You can also eSign them. Take a look at the Google Workspace Marketplace and get pdfFiller for Gmail. Get rid of the time-consuming steps and easily manage your documents and eSignatures with the help of an app.
How do I complete committee of adjustment application online?
pdfFiller makes it easy to finish and sign committee of adjustment application online. It lets you make changes to original PDF content, highlight, black out, erase, and write text anywhere on a page, legally eSign your form, and more, all from one place. Create a free account and use the web to keep track of professional documents.
How do I fill out committee of adjustment application on an Android device?
Use the pdfFiller mobile app to complete your committee of adjustment application on an Android device. The application makes it possible to perform all needed document management manipulations, like adding, editing, and removing text, signing, annotating, and more. All you need is your smartphone and an internet connection.
What is committee of adjustment application?
The committee of adjustment application is a formal request made to the committee that oversees zoning regulations in a particular jurisdiction to grant relief from certain provisions of the zoning by-law.
Who is required to file committee of adjustment application?
Property owners, developers, or individuals seeking variances or exemptions from zoning regulations are required to file a committee of adjustment application.
How to fill out committee of adjustment application?
To fill out a committee of adjustment application, one must provide detailed information about the property, the requested variance, and supporting documentation to justify the need for the variance.
What is the purpose of committee of adjustment application?
The purpose of a committee of adjustment application is to allow property owners to seek relief from specific zoning regulations that may be preventing them from fully utilizing their property.
What information must be reported on committee of adjustment application?
Information such as the property address, current land use, proposed land use, reasons for seeking a variance, and supporting documentation must be reported on a committee of adjustment application.
Fill out your committee of adjustment application online with pdfFiller!
pdfFiller is an end-to-end solution for managing, creating, and editing documents and forms in the cloud. Save time and hassle by preparing your tax forms online.
Committee Of Adjustment Application is not the form you're looking for?Search for another form here.
Relevant keywords
Related Forms
If you believe that this page should be taken down, please follow our DMCA take down process
here
.
This form may include fields for payment information. Data entered in these fields is not covered by PCI DSS compliance.