
Get the free HCUP-US Central Distributor Summary Statistics - hcup-us ahrq
Show details
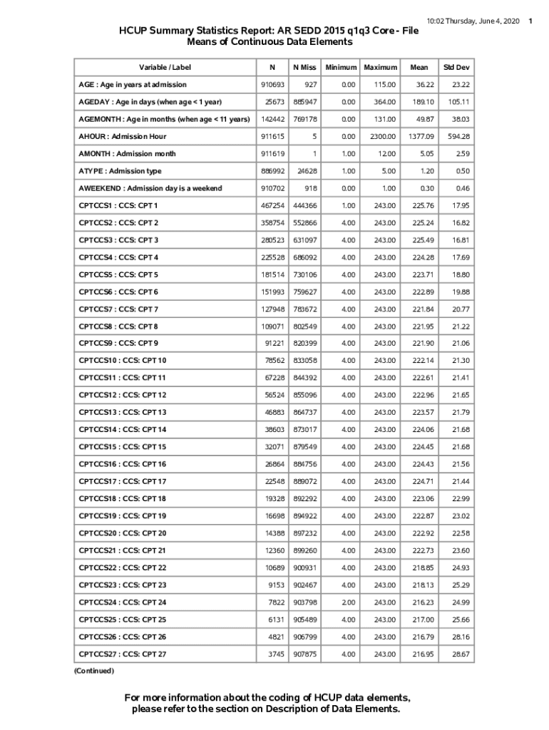
CUP Summary Statistics Report: AR SEND 2015 q1q3 Core File Means of Continuous Data Elements Variable / Label MissMinimumMaximum9106939270.00115.0036.2223.22256738859470.00364.00189.10105.11AGEMONTH
We are not affiliated with any brand or entity on this form
Get, Create, Make and Sign hcup-us central distributor summary

Edit your hcup-us central distributor summary form online
Type text, complete fillable fields, insert images, highlight or blackout data for discretion, add comments, and more.

Add your legally-binding signature
Draw or type your signature, upload a signature image, or capture it with your digital camera.

Share your form instantly
Email, fax, or share your hcup-us central distributor summary form via URL. You can also download, print, or export forms to your preferred cloud storage service.
How to edit hcup-us central distributor summary online
Follow the guidelines below to take advantage of the professional PDF editor:
1
Sign into your account. It's time to start your free trial.
2
Simply add a document. Select Add New from your Dashboard and import a file into the system by uploading it from your device or importing it via the cloud, online, or internal mail. Then click Begin editing.
3
Edit hcup-us central distributor summary. Replace text, adding objects, rearranging pages, and more. Then select the Documents tab to combine, divide, lock or unlock the file.
4
Get your file. Select the name of your file in the docs list and choose your preferred exporting method. You can download it as a PDF, save it in another format, send it by email, or transfer it to the cloud.
With pdfFiller, dealing with documents is always straightforward. Try it now!
Uncompromising security for your PDF editing and eSignature needs
Your private information is safe with pdfFiller. We employ end-to-end encryption, secure cloud storage, and advanced access control to protect your documents and maintain regulatory compliance.
How to fill out hcup-us central distributor summary

How to fill out hcup-us central distributor summary
01
Access the HCUP-US Central Distributor website
02
Log in using your user credentials
03
Select the option to fill out a summary form
04
Enter the required information such as patient demographics, diagnosis codes, procedure codes, and other relevant data
05
Review the completed summary form for accuracy
06
Submit the form electronically
Who needs hcup-us central distributor summary?
01
Researchers conducting healthcare utilization studies
02
Healthcare providers looking to analyze patient outcomes
03
Policymakers and public health officials interested in population health trends
Fill
form
: Try Risk Free
For pdfFiller’s FAQs
Below is a list of the most common customer questions. If you can’t find an answer to your question, please don’t hesitate to reach out to us.
Where do I find hcup-us central distributor summary?
The premium version of pdfFiller gives you access to a huge library of fillable forms (more than 25 million fillable templates). You can download, fill out, print, and sign them all. State-specific hcup-us central distributor summary and other forms will be easy to find in the library. Find the template you need and use advanced editing tools to make it your own.
How do I edit hcup-us central distributor summary in Chrome?
Install the pdfFiller Google Chrome Extension to edit hcup-us central distributor summary and other documents straight from Google search results. When reading documents in Chrome, you may edit them. Create fillable PDFs and update existing PDFs using pdfFiller.
How do I fill out the hcup-us central distributor summary form on my smartphone?
The pdfFiller mobile app makes it simple to design and fill out legal paperwork. Complete and sign hcup-us central distributor summary and other papers using the app. Visit pdfFiller's website to learn more about the PDF editor's features.
What is hcup-us central distributor summary?
The HCUP-US Central Distributor Summary is a summary of data required to be reported by organizations that participate in the HCUP database.
Who is required to file hcup-us central distributor summary?
Healthcare organizations and hospitals that participate in the HCUP database are required to file the HCUP-US Central Distributor Summary.
How to fill out hcup-us central distributor summary?
The HCUP-US Central Distributor Summary can be filled out electronically through the HCUP website using the required data elements and guidelines provided.
What is the purpose of hcup-us central distributor summary?
The purpose of the HCUP-US Central Distributor Summary is to collect and aggregate healthcare data for research, analysis, and policy making.
What information must be reported on hcup-us central distributor summary?
The HCUP-US Central Distributor Summary must include data on patient demographics, diagnosis codes, procedures, and hospital characteristics.
Fill out your hcup-us central distributor summary online with pdfFiller!
pdfFiller is an end-to-end solution for managing, creating, and editing documents and forms in the cloud. Save time and hassle by preparing your tax forms online.

Hcup-Us Central Distributor Summary is not the form you're looking for?Search for another form here.
Relevant keywords
Related Forms
If you believe that this page should be taken down, please follow our DMCA take down process
here
.
This form may include fields for payment information. Data entered in these fields is not covered by PCI DSS compliance.