
Get the free STATE OF WEST VIRGINIA COMBINED MEDICAL POWER ...
Show details
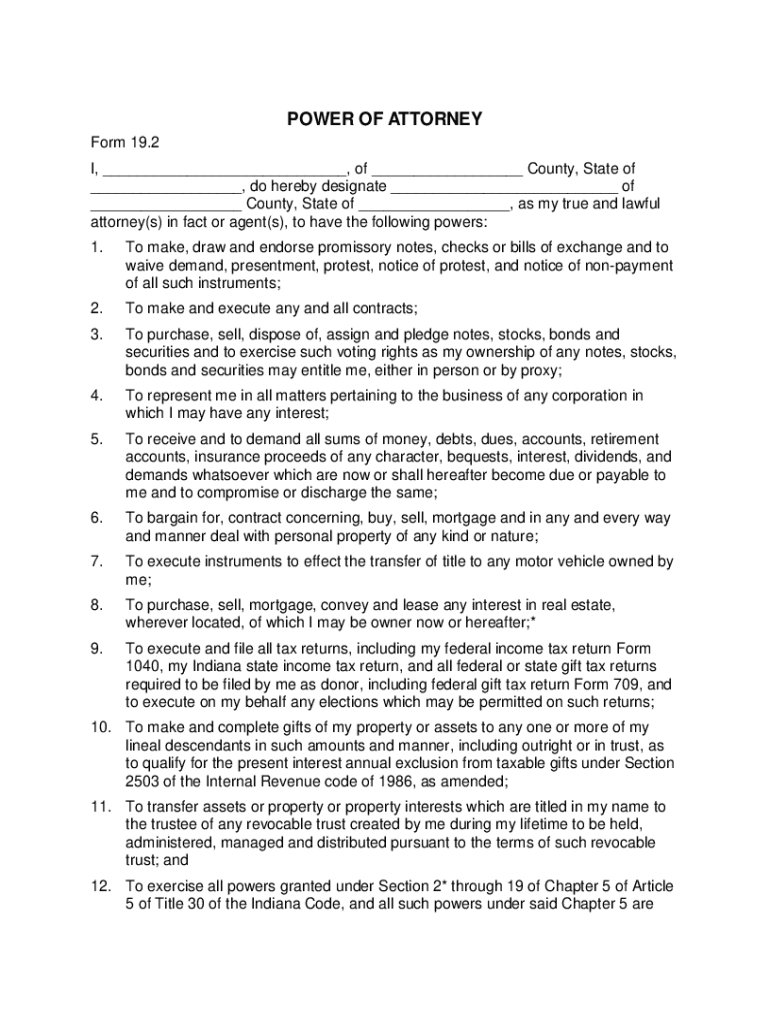
POWER OF ATTORNEY Form 19.2 I, ___, of ___ County, State of ___, do hereby designate ___ of ___ County, State of ___, as my true and lawful attorney(s) in fact or agent(s), to have the following powers:
We are not affiliated with any brand or entity on this form
Get, Create, Make and Sign state of west virginia

Edit your state of west virginia form online
Type text, complete fillable fields, insert images, highlight or blackout data for discretion, add comments, and more.

Add your legally-binding signature
Draw or type your signature, upload a signature image, or capture it with your digital camera.

Share your form instantly
Email, fax, or share your state of west virginia form via URL. You can also download, print, or export forms to your preferred cloud storage service.
How to edit state of west virginia online
Use the instructions below to start using our professional PDF editor:
1
Set up an account. If you are a new user, click Start Free Trial and establish a profile.
2
Upload a document. Select Add New on your Dashboard and transfer a file into the system in one of the following ways: by uploading it from your device or importing from the cloud, web, or internal mail. Then, click Start editing.
3
Edit state of west virginia. Text may be added and replaced, new objects can be included, pages can be rearranged, watermarks and page numbers can be added, and so on. When you're done editing, click Done and then go to the Documents tab to combine, divide, lock, or unlock the file.
4
Get your file. Select the name of your file in the docs list and choose your preferred exporting method. You can download it as a PDF, save it in another format, send it by email, or transfer it to the cloud.
pdfFiller makes working with documents easier than you could ever imagine. Register for an account and see for yourself!
Uncompromising security for your PDF editing and eSignature needs
Your private information is safe with pdfFiller. We employ end-to-end encryption, secure cloud storage, and advanced access control to protect your documents and maintain regulatory compliance.
How to fill out state of west virginia

How to fill out state of west virginia
01
Obtain the state of West Virginia form from the official state website or local government office.
02
Fill in your personal information including your name, address, and social security number.
03
Provide details about your income and any deductions you may be eligible for.
04
Double check your entries for accuracy and make sure all required fields are completed.
05
Sign and date the form before submission.
Who needs state of west virginia?
01
Residents of West Virginia who earned income during the tax year are required to fill out the state of West Virginia tax forms.
02
Individuals who have moved to West Virginia mid-year and earned income in the state may also need to file a state tax return.
03
Non-residents who earned income in West Virginia may also need to file a state tax return depending on the amount earned and the state's tax laws.
Fill
form
: Try Risk Free
For pdfFiller’s FAQs
Below is a list of the most common customer questions. If you can’t find an answer to your question, please don’t hesitate to reach out to us.
How can I send state of west virginia to be eSigned by others?
state of west virginia is ready when you're ready to send it out. With pdfFiller, you can send it out securely and get signatures in just a few clicks. PDFs can be sent to you by email, text message, fax, USPS mail, or notarized on your account. You can do this right from your account. Become a member right now and try it out for yourself!
Can I create an electronic signature for the state of west virginia in Chrome?
You certainly can. You get not just a feature-rich PDF editor and fillable form builder with pdfFiller, but also a robust e-signature solution that you can add right to your Chrome browser. You may use our addon to produce a legally enforceable eSignature by typing, sketching, or photographing your signature with your webcam. Choose your preferred method and eSign your state of west virginia in minutes.
Can I create an electronic signature for signing my state of west virginia in Gmail?
Create your eSignature using pdfFiller and then eSign your state of west virginia immediately from your email with pdfFiller's Gmail add-on. To keep your signatures and signed papers, you must create an account.
What is state of west virginia?
State of West Virginia refers to the tax return that individuals and businesses are required to file with the state of West Virginia in order to report their income and pay any taxes owed.
Who is required to file state of west virginia?
Residents of West Virginia who have income that is subject to state taxes, as well as non-residents who earn income in West Virginia, are required to file a state of West Virginia tax return.
How to fill out state of west virginia?
To fill out a state of West Virginia tax return, individuals and businesses must gather relevant financial information, complete the necessary forms, and submit the return either online or by mail.
What is the purpose of state of west virginia?
The purpose of the state of West Virginia tax return is to report income, calculate tax liability, and pay any taxes owed to the state.
What information must be reported on state of west virginia?
Information reported on the state of West Virginia tax return may include income, deductions, credits, and any other relevant financial information.
Fill out your state of west virginia online with pdfFiller!
pdfFiller is an end-to-end solution for managing, creating, and editing documents and forms in the cloud. Save time and hassle by preparing your tax forms online.

State Of West Virginia is not the form you're looking for?Search for another form here.
Relevant keywords
Related Forms
If you believe that this page should be taken down, please follow our DMCA take down process
here
.
This form may include fields for payment information. Data entered in these fields is not covered by PCI DSS compliance.