Get the free FIU Assurgent Medical Solutions LLC. Addendum
Show details
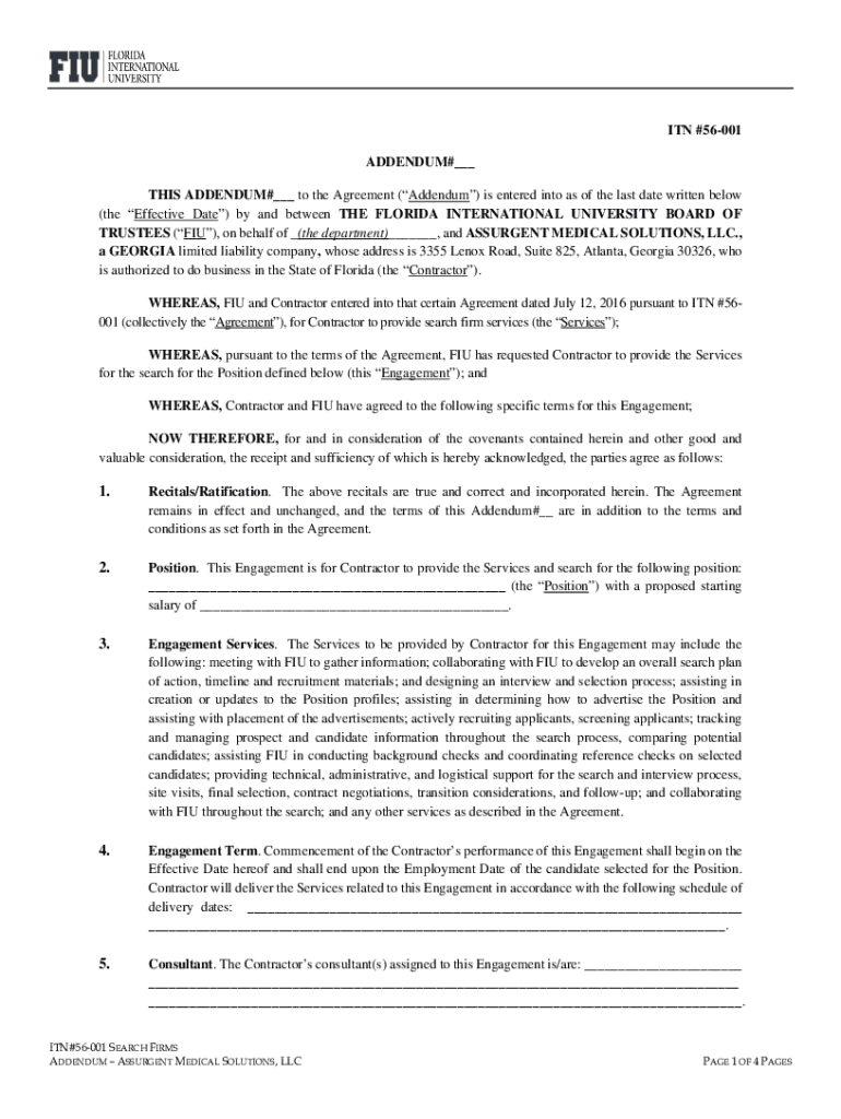
ITN #56001 ADDENDUM#___ THIS ADDENDUM#___ to the Agreement (Addendum) is entered into as of the last date written below (the Effective Date) by and between THE FLORIDA INTERNATIONAL UNIVERSITY BOARD
We are not affiliated with any brand or entity on this form
Get, Create, Make and Sign fiu assurgent medical solutions
Edit your fiu assurgent medical solutions form online
Type text, complete fillable fields, insert images, highlight or blackout data for discretion, add comments, and more.
Add your legally-binding signature
Draw or type your signature, upload a signature image, or capture it with your digital camera.
Share your form instantly
Email, fax, or share your fiu assurgent medical solutions form via URL. You can also download, print, or export forms to your preferred cloud storage service.
Editing fiu assurgent medical solutions online
Here are the steps you need to follow to get started with our professional PDF editor:
1
Log in. Click Start Free Trial and create a profile if necessary.
2
Simply add a document. Select Add New from your Dashboard and import a file into the system by uploading it from your device or importing it via the cloud, online, or internal mail. Then click Begin editing.
3
Edit fiu assurgent medical solutions. Rearrange and rotate pages, add new and changed texts, add new objects, and use other useful tools. When you're done, click Done. You can use the Documents tab to merge, split, lock, or unlock your files.
4
Save your file. Choose it from the list of records. Then, shift the pointer to the right toolbar and select one of the several exporting methods: save it in multiple formats, download it as a PDF, email it, or save it to the cloud.
It's easier to work with documents with pdfFiller than you can have ever thought. You can sign up for an account to see for yourself.
Uncompromising security for your PDF editing and eSignature needs
Your private information is safe with pdfFiller. We employ end-to-end encryption, secure cloud storage, and advanced access control to protect your documents and maintain regulatory compliance.
How to fill out fiu assurgent medical solutions
How to fill out fiu assurgent medical solutions
01
Start by acquiring the necessary forms from FIU Assurgent Medical Solutions.
02
Fill out all personal information accurately, including name, address, phone number, etc.
03
Provide detailed information about your medical history and any current health concerns.
04
Make sure to follow any specific instructions provided on the form.
05
Review the completed form for accuracy and completeness before submitting.
Who needs fiu assurgent medical solutions?
01
Patients who are seeking medical solutions and services from FIU Assurgent Medical Solutions.
02
Healthcare providers who are looking to refer patients to FIU Assurgent Medical Solutions for specialized care.
03
Individuals who are looking to participate in research studies or clinical trials conducted by FIU Assurgent Medical Solutions.
Fill
form
: Try Risk Free
For pdfFiller’s FAQs
Below is a list of the most common customer questions. If you can’t find an answer to your question, please don’t hesitate to reach out to us.
How do I complete fiu assurgent medical solutions online?
pdfFiller has made it simple to fill out and eSign fiu assurgent medical solutions. The application has capabilities that allow you to modify and rearrange PDF content, add fillable fields, and eSign the document. Begin a free trial to discover all of the features of pdfFiller, the best document editing solution.
Can I create an electronic signature for signing my fiu assurgent medical solutions in Gmail?
Upload, type, or draw a signature in Gmail with the help of pdfFiller’s add-on. pdfFiller enables you to eSign your fiu assurgent medical solutions and other documents right in your inbox. Register your account in order to save signed documents and your personal signatures.
How do I fill out fiu assurgent medical solutions using my mobile device?
You can quickly make and fill out legal forms with the help of the pdfFiller app on your phone. Complete and sign fiu assurgent medical solutions and other documents on your mobile device using the application. If you want to learn more about how the PDF editor works, go to pdfFiller.com.
What is fiu assurgent medical solutions?
FIU Assurgent Medical Solutions is a medical billing company that provides revenue cycle management services for healthcare providers.
Who is required to file fiu assurgent medical solutions?
Healthcare providers who utilize the services of FIU Assurgent Medical Solutions are required to file the necessary forms and reports.
How to fill out fiu assurgent medical solutions?
To fill out FIU Assurgent Medical Solutions forms, healthcare providers must provide detailed information about the services provided, patient demographics, and billing codes.
What is the purpose of fiu assurgent medical solutions?
The purpose of FIU Assurgent Medical Solutions is to streamline the billing and revenue cycle management processes for healthcare providers.
What information must be reported on fiu assurgent medical solutions?
Information such as patient demographics, services provided, billing codes, and insurance information must be reported on FIU Assurgent Medical Solutions forms.
Fill out your fiu assurgent medical solutions online with pdfFiller!
pdfFiller is an end-to-end solution for managing, creating, and editing documents and forms in the cloud. Save time and hassle by preparing your tax forms online.
Fiu Assurgent Medical Solutions is not the form you're looking for?Search for another form here.
Relevant keywords
Related Forms
If you believe that this page should be taken down, please follow our DMCA take down process
here
.
This form may include fields for payment information. Data entered in these fields is not covered by PCI DSS compliance.