Get the free HIRING APPROVAL & SALARY REQUEST FORM
Show details
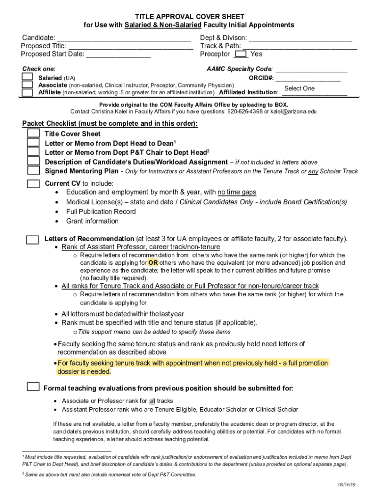
TITLE APPROVAL COVER SHEET for Use with Salaried & Nonsalaried Faculty Initial Appointments Candidate: ___ Proposed Title: ___ Proposed Start Date: ___Dept & Division: ___ Track & Path: ___ Preceptor
We are not affiliated with any brand or entity on this form
Get, Create, Make and Sign hiring approval ampamp salary
Edit your hiring approval ampamp salary form online
Type text, complete fillable fields, insert images, highlight or blackout data for discretion, add comments, and more.
Add your legally-binding signature
Draw or type your signature, upload a signature image, or capture it with your digital camera.
Share your form instantly
Email, fax, or share your hiring approval ampamp salary form via URL. You can also download, print, or export forms to your preferred cloud storage service.
Editing hiring approval ampamp salary online
Use the instructions below to start using our professional PDF editor:
1
Log into your account. In case you're new, it's time to start your free trial.
2
Prepare a file. Use the Add New button. Then upload your file to the system from your device, importing it from internal mail, the cloud, or by adding its URL.
3
Edit hiring approval ampamp salary. Replace text, adding objects, rearranging pages, and more. Then select the Documents tab to combine, divide, lock or unlock the file.
4
Save your file. Select it from your records list. Then, click the right toolbar and select one of the various exporting options: save in numerous formats, download as PDF, email, or cloud.
With pdfFiller, it's always easy to work with documents. Try it!
Uncompromising security for your PDF editing and eSignature needs
Your private information is safe with pdfFiller. We employ end-to-end encryption, secure cloud storage, and advanced access control to protect your documents and maintain regulatory compliance.
How to fill out hiring approval ampamp salary
How to fill out hiring approval ampamp salary
01
Obtain the necessary hiring approval form from your HR department.
02
Fill out all required fields on the hiring approval form with accurate information.
03
Provide detailed justification for the new hire, including job description and salary requirements.
04
Seek approval from the appropriate personnel, such as the hiring manager or department head.
05
Submit the completed hiring approval form for processing and review.
Who needs hiring approval ampamp salary?
01
Managers or supervisors who are looking to hire new employees.
02
HR personnel responsible for processing hiring approvals and managing salary budgets.
Fill
form
: Try Risk Free
For pdfFiller’s FAQs
Below is a list of the most common customer questions. If you can’t find an answer to your question, please don’t hesitate to reach out to us.
How can I get hiring approval ampamp salary?
The premium pdfFiller subscription gives you access to over 25M fillable templates that you can download, fill out, print, and sign. The library has state-specific hiring approval ampamp salary and other forms. Find the template you need and change it using powerful tools.
How do I make changes in hiring approval ampamp salary?
With pdfFiller, it's easy to make changes. Open your hiring approval ampamp salary in the editor, which is very easy to use and understand. When you go there, you'll be able to black out and change text, write and erase, add images, draw lines, arrows, and more. You can also add sticky notes and text boxes.
How do I edit hiring approval ampamp salary straight from my smartphone?
The pdfFiller apps for iOS and Android smartphones are available in the Apple Store and Google Play Store. You may also get the program at https://edit-pdf-ios-android.pdffiller.com/. Open the web app, sign in, and start editing hiring approval ampamp salary.
What is hiring approval & salary?
Hiring approval & salary is the process of obtaining authorization for filling a position within a company and determining the salary for the employee who will be hired.
Who is required to file hiring approval & salary?
Managers or HR personnel responsible for hiring new employees are required to file hiring approval & salary.
How to fill out hiring approval & salary?
To fill out hiring approval & salary, one must provide information about the position to be filled, the salary range, and justification for the position.
What is the purpose of hiring approval & salary?
The purpose of hiring approval & salary is to ensure that the hiring process is efficient, fair, and in compliance with company policies and budget constraints.
What information must be reported on hiring approval & salary?
Information such as job title, salary range, reason for hiring, and approval signatures must be reported on hiring approval & salary form.
Fill out your hiring approval ampamp salary online with pdfFiller!
pdfFiller is an end-to-end solution for managing, creating, and editing documents and forms in the cloud. Save time and hassle by preparing your tax forms online.
Hiring Approval Ampamp Salary is not the form you're looking for?Search for another form here.
Relevant keywords
Related Forms
If you believe that this page should be taken down, please follow our DMCA take down process
here
.
This form may include fields for payment information. Data entered in these fields is not covered by PCI DSS compliance.