
Get the free Amendment Request from DMS Imaging, Inc. for License No. 40-32477-01.
Show details
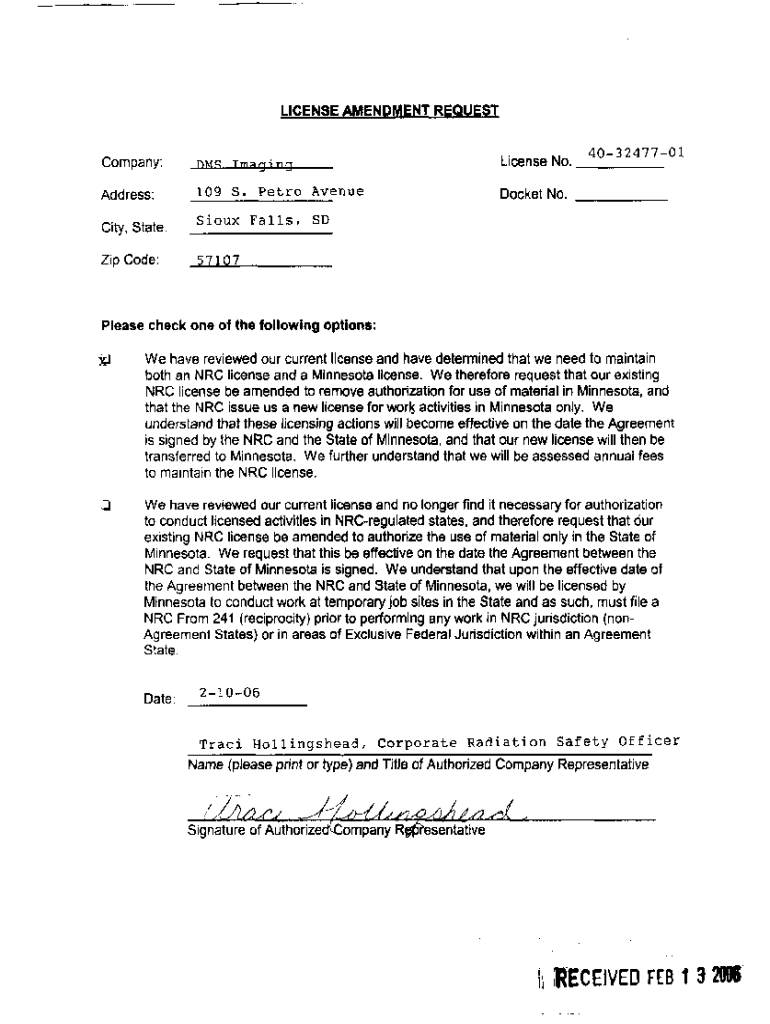
Company:DMS TmKrinnAddress:109 S. City, State: Zip Code:License No. P e t r o Avenue Sioux F an l l s, 403247701Docket No.SD57107Please check one of the following options: We have reviewed our current
We are not affiliated with any brand or entity on this form
Get, Create, Make and Sign amendment request from dms

Edit your amendment request from dms form online
Type text, complete fillable fields, insert images, highlight or blackout data for discretion, add comments, and more.

Add your legally-binding signature
Draw or type your signature, upload a signature image, or capture it with your digital camera.

Share your form instantly
Email, fax, or share your amendment request from dms form via URL. You can also download, print, or export forms to your preferred cloud storage service.
Editing amendment request from dms online
To use the services of a skilled PDF editor, follow these steps:
1
Log in to your account. Start Free Trial and register a profile if you don't have one yet.
2
Upload a file. Select Add New on your Dashboard and upload a file from your device or import it from the cloud, online, or internal mail. Then click Edit.
3
Edit amendment request from dms. Rearrange and rotate pages, add and edit text, and use additional tools. To save changes and return to your Dashboard, click Done. The Documents tab allows you to merge, divide, lock, or unlock files.
4
Save your file. Select it in the list of your records. Then, move the cursor to the right toolbar and choose one of the available exporting methods: save it in multiple formats, download it as a PDF, send it by email, or store it in the cloud.
With pdfFiller, it's always easy to work with documents. Try it out!
Uncompromising security for your PDF editing and eSignature needs
Your private information is safe with pdfFiller. We employ end-to-end encryption, secure cloud storage, and advanced access control to protect your documents and maintain regulatory compliance.
How to fill out amendment request from dms

How to fill out amendment request from dms
01
Obtain the proper form for the amendment request from DMS.
02
Fill out all required fields on the form accurately and completely.
03
Include any supporting documentation or information that may be needed for the request.
04
Review the completed form to ensure all information is correct.
05
Submit the form according to the instructions provided by DMS.
Who needs amendment request from dms?
01
Anyone who needs to make changes or updates to a previous submission or request with DMS.
Fill
form
: Try Risk Free
For pdfFiller’s FAQs
Below is a list of the most common customer questions. If you can’t find an answer to your question, please don’t hesitate to reach out to us.
How can I modify amendment request from dms without leaving Google Drive?
It is possible to significantly enhance your document management and form preparation by combining pdfFiller with Google Docs. This will allow you to generate papers, amend them, and sign them straight from your Google Drive. Use the add-on to convert your amendment request from dms into a dynamic fillable form that can be managed and signed using any internet-connected device.
How can I send amendment request from dms to be eSigned by others?
When your amendment request from dms is finished, send it to recipients securely and gather eSignatures with pdfFiller. You may email, text, fax, mail, or notarize a PDF straight from your account. Create an account today to test it.
How do I make changes in amendment request from dms?
With pdfFiller, you may not only alter the content but also rearrange the pages. Upload your amendment request from dms and modify it with a few clicks. The editor lets you add photos, sticky notes, text boxes, and more to PDFs.
What is amendment request from dms?
An amendment request from DMS is a formal request submitted to the Document Management System to modify or correct previously submitted documentation.
Who is required to file amendment request from dms?
Any individual or organization that needs to update or correct information in the Document Management System is required to file an amendment request.
How to fill out amendment request from dms?
To fill out the amendment request, you should complete the designated amendment form, providing all required details such as the original document reference, the changes needed, and any supporting information.
What is the purpose of amendment request from dms?
The purpose of an amendment request from DMS is to ensure that all documents within the system are accurate and up-to-date, reflecting the most current information.
What information must be reported on amendment request from dms?
The amendment request must report information such as the document ID, the specific changes requested, the reason for the amendment, and the contact details of the individual submitting the request.
Fill out your amendment request from dms online with pdfFiller!
pdfFiller is an end-to-end solution for managing, creating, and editing documents and forms in the cloud. Save time and hassle by preparing your tax forms online.

Amendment Request From Dms is not the form you're looking for?Search for another form here.
Relevant keywords
Related Forms
If you believe that this page should be taken down, please follow our DMCA take down process
here
.
This form may include fields for payment information. Data entered in these fields is not covered by PCI DSS compliance.