Get the free Budget 2024 Consultation - Province of British Columbia
Show details
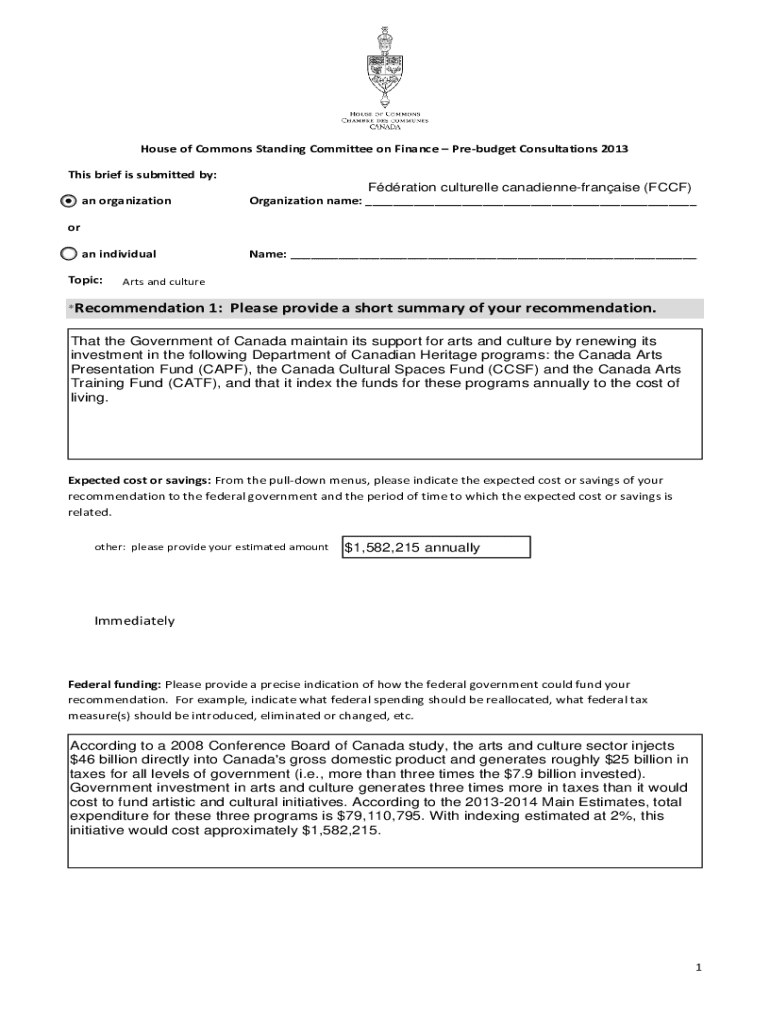
House of Commons Standing Committee on Finance Prejudge Consultations 2013
This brief is submitted by:
an organizationFdration culturally canadiennefranaise (FCC)
Organization name: ___an individualism:
We are not affiliated with any brand or entity on this form
Get, Create, Make and Sign budget 2024 consultation
Edit your budget 2024 consultation form online
Type text, complete fillable fields, insert images, highlight or blackout data for discretion, add comments, and more.
Add your legally-binding signature
Draw or type your signature, upload a signature image, or capture it with your digital camera.
Share your form instantly
Email, fax, or share your budget 2024 consultation form via URL. You can also download, print, or export forms to your preferred cloud storage service.
How to edit budget 2024 consultation online
Follow the guidelines below to benefit from a competent PDF editor:
1
Set up an account. If you are a new user, click Start Free Trial and establish a profile.
2
Prepare a file. Use the Add New button. Then upload your file to the system from your device, importing it from internal mail, the cloud, or by adding its URL.
3
Edit budget 2024 consultation. Replace text, adding objects, rearranging pages, and more. Then select the Documents tab to combine, divide, lock or unlock the file.
4
Save your file. Choose it from the list of records. Then, shift the pointer to the right toolbar and select one of the several exporting methods: save it in multiple formats, download it as a PDF, email it, or save it to the cloud.
pdfFiller makes dealing with documents a breeze. Create an account to find out!
Uncompromising security for your PDF editing and eSignature needs
Your private information is safe with pdfFiller. We employ end-to-end encryption, secure cloud storage, and advanced access control to protect your documents and maintain regulatory compliance.
How to fill out budget 2024 consultation
How to fill out budget 2024 consultation
01
Gather information on income and expenses for the year 2024
02
Determine your financial goals and priorities for the coming year
03
Create categories for different types of expenses and allocate a budget for each category
04
Compare actual spending with budgeted amounts regularly and make adjustments as needed
05
Consult with financial advisors or experts for guidance and feedback on your budget
Who needs budget 2024 consultation?
01
Individuals looking to effectively manage their finances for the year 2024
02
Businesses seeking to plan and allocate resources for the upcoming year
03
Government agencies or organizations needing to prepare a budget for the fiscal year 2024
Fill
form
: Try Risk Free
For pdfFiller’s FAQs
Below is a list of the most common customer questions. If you can’t find an answer to your question, please don’t hesitate to reach out to us.
How can I modify budget 2024 consultation without leaving Google Drive?
By combining pdfFiller with Google Docs, you can generate fillable forms directly in Google Drive. No need to leave Google Drive to make edits or sign documents, including budget 2024 consultation. Use pdfFiller's features in Google Drive to handle documents on any internet-connected device.
How do I execute budget 2024 consultation online?
Easy online budget 2024 consultation completion using pdfFiller. Also, it allows you to legally eSign your form and change original PDF material. Create a free account and manage documents online.
Can I create an electronic signature for the budget 2024 consultation in Chrome?
Yes. By adding the solution to your Chrome browser, you may use pdfFiller to eSign documents while also enjoying all of the PDF editor's capabilities in one spot. Create a legally enforceable eSignature by sketching, typing, or uploading a photo of your handwritten signature using the extension. Whatever option you select, you'll be able to eSign your budget 2024 consultation in seconds.
What is budget consultation - province?
Budget consultation - province is a process where the government seeks input and feedback from residents, organizations, and other stakeholders on the upcoming budget for the province.
Who is required to file budget consultation - province?
All residents, organizations, and stakeholders who have an interest in the provincial budget are required to file budget consultation.
How to fill out budget consultation - province?
Budget consultation - province can usually be filled out online through the government's official website. There are instructions provided on how to complete the form.
What is the purpose of budget consultation - province?
The purpose of budget consultation - province is to ensure that the government takes into account the feedback and priorities of residents and stakeholders when planning the budget.
What information must be reported on budget consultation - province?
Budget consultation - province typically asks for information on priorities for spending, areas for cuts or increases, and overall feedback on the budget process.
Fill out your budget 2024 consultation online with pdfFiller!
pdfFiller is an end-to-end solution for managing, creating, and editing documents and forms in the cloud. Save time and hassle by preparing your tax forms online.
Budget 2024 Consultation is not the form you're looking for?Search for another form here.
Relevant keywords
Related Forms
If you believe that this page should be taken down, please follow our DMCA take down process
here
.
This form may include fields for payment information. Data entered in these fields is not covered by PCI DSS compliance.