Get the free North County USBCHome
Show details
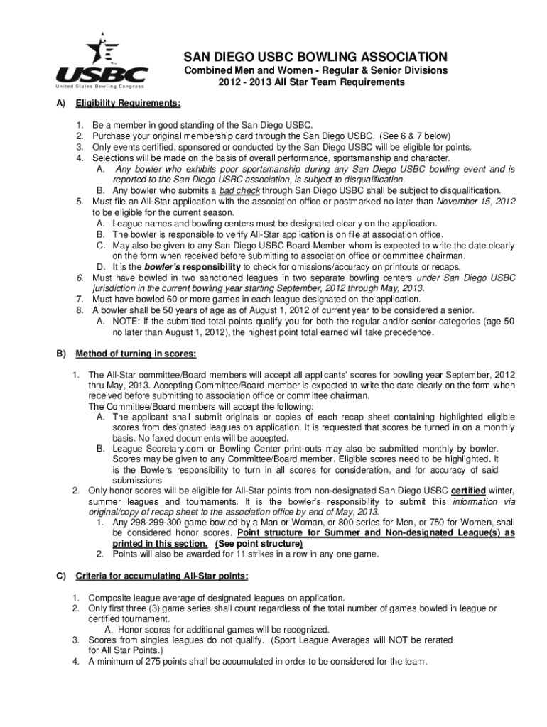
SAN DIEGO USB BOWLING ASSOCIATION
Combined Men and Women Regular & Senior Divisions
2012 2013 All Star Team Requirements
A)Eligibility Requirements:
1.
2.
3.
4.5.6.
7.
8. B)Be a member in good standing
We are not affiliated with any brand or entity on this form
Get, Create, Make and Sign north county usbchome
Edit your north county usbchome form online
Type text, complete fillable fields, insert images, highlight or blackout data for discretion, add comments, and more.
Add your legally-binding signature
Draw or type your signature, upload a signature image, or capture it with your digital camera.
Share your form instantly
Email, fax, or share your north county usbchome form via URL. You can also download, print, or export forms to your preferred cloud storage service.
Editing north county usbchome online
Here are the steps you need to follow to get started with our professional PDF editor:
1
Check your account. If you don't have a profile yet, click Start Free Trial and sign up for one.
2
Upload a document. Select Add New on your Dashboard and transfer a file into the system in one of the following ways: by uploading it from your device or importing from the cloud, web, or internal mail. Then, click Start editing.
3
Edit north county usbchome. Replace text, adding objects, rearranging pages, and more. Then select the Documents tab to combine, divide, lock or unlock the file.
4
Get your file. Select your file from the documents list and pick your export method. You may save it as a PDF, email it, or upload it to the cloud.
It's easier to work with documents with pdfFiller than you can have believed. You may try it out for yourself by signing up for an account.
Uncompromising security for your PDF editing and eSignature needs
Your private information is safe with pdfFiller. We employ end-to-end encryption, secure cloud storage, and advanced access control to protect your documents and maintain regulatory compliance.
How to fill out north county usbchome
How to fill out north county usbchome
01
Gather all necessary information and documentation required for the application.
02
Visit the North County USBCHome website or office to obtain the application form.
03
Fill out the application form accurately, providing all requested information.
04
Double-check the form for any errors or missing information before submitting.
05
Submit the completed application form along with any required documents to the designated office or address.
06
Wait for confirmation of receipt and processing of your application.
07
Follow up with the North County USBCHome office if necessary to check on the status of your application.
Who needs north county usbchome?
01
Individuals seeking affordable housing in North County.
02
Families looking for housing assistance and support.
03
Those in need of temporary or permanent housing solutions in the North County area.
Fill
form
: Try Risk Free
For pdfFiller’s FAQs
Below is a list of the most common customer questions. If you can’t find an answer to your question, please don’t hesitate to reach out to us.
How do I make edits in north county usbchome without leaving Chrome?
Adding the pdfFiller Google Chrome Extension to your web browser will allow you to start editing north county usbchome and other documents right away when you search for them on a Google page. People who use Chrome can use the service to make changes to their files while they are on the Chrome browser. pdfFiller lets you make fillable documents and make changes to existing PDFs from any internet-connected device.
Can I create an electronic signature for signing my north county usbchome in Gmail?
You may quickly make your eSignature using pdfFiller and then eSign your north county usbchome right from your mailbox using pdfFiller's Gmail add-on. Please keep in mind that in order to preserve your signatures and signed papers, you must first create an account.
Can I edit north county usbchome on an Android device?
You can. With the pdfFiller Android app, you can edit, sign, and distribute north county usbchome from anywhere with an internet connection. Take use of the app's mobile capabilities.
What is north county usbchome?
North County USBCHome is a form used for reporting income and expenses for businesses located in North County.
Who is required to file north county usbchome?
All businesses operating in North County are required to file North County USBCHome.
How to fill out north county usbchome?
North County USBCHome can be filled out online or submitted in paper form with all income and expense information accurately reported.
What is the purpose of north county usbchome?
The purpose of North County USBCHome is to accurately report business income and expenses for tax purposes.
What information must be reported on north county usbchome?
Business income, expenses, deductions, and any other relevant financial information must be reported on North County USBCHome.
Fill out your north county usbchome online with pdfFiller!
pdfFiller is an end-to-end solution for managing, creating, and editing documents and forms in the cloud. Save time and hassle by preparing your tax forms online.
North County Usbchome is not the form you're looking for?Search for another form here.
Relevant keywords
Related Forms
If you believe that this page should be taken down, please follow our DMCA take down process
here
.
This form may include fields for payment information. Data entered in these fields is not covered by PCI DSS compliance.