Get the free Form 15Notice of Disposition and Summary
Show details
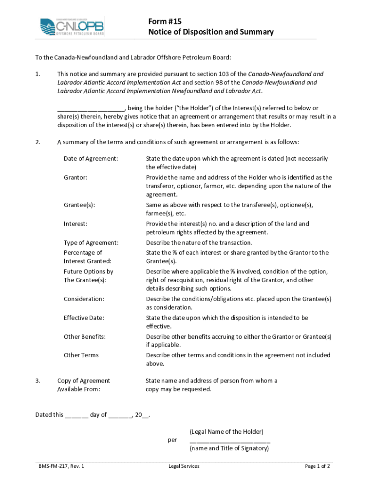
Form #15 Notice of Disposition and Summary To the Canada Newfoundland and Labrador Offshore Petroleum Board: 1. This notice and summary are provided pursuant to section 103 of the Canada Newfoundland
We are not affiliated with any brand or entity on this form
Get, Create, Make and Sign form 15notice of disposition
Edit your form 15notice of disposition form online
Type text, complete fillable fields, insert images, highlight or blackout data for discretion, add comments, and more.
Add your legally-binding signature
Draw or type your signature, upload a signature image, or capture it with your digital camera.
Share your form instantly
Email, fax, or share your form 15notice of disposition form via URL. You can also download, print, or export forms to your preferred cloud storage service.
Editing form 15notice of disposition online
Here are the steps you need to follow to get started with our professional PDF editor:
1
Register the account. Begin by clicking Start Free Trial and create a profile if you are a new user.
2
Prepare a file. Use the Add New button. Then upload your file to the system from your device, importing it from internal mail, the cloud, or by adding its URL.
3
Edit form 15notice of disposition. Rearrange and rotate pages, add new and changed texts, add new objects, and use other useful tools. When you're done, click Done. You can use the Documents tab to merge, split, lock, or unlock your files.
4
Save your file. Choose it from the list of records. Then, shift the pointer to the right toolbar and select one of the several exporting methods: save it in multiple formats, download it as a PDF, email it, or save it to the cloud.
Uncompromising security for your PDF editing and eSignature needs
Your private information is safe with pdfFiller. We employ end-to-end encryption, secure cloud storage, and advanced access control to protect your documents and maintain regulatory compliance.
How to fill out form 15notice of disposition
How to fill out form 15notice of disposition
01
Obtain a copy of form 15 Notice of Disposition from the appropriate organization or website.
02
Fill out all required fields on the form, including your name, address, and contact information.
03
Provide details about the disposition of the property or assets in question, including dates and parties involved.
04
Sign and date the form before submitting it to the designated recipient.
05
Keep a copy of the completed form for your records.
Who needs form 15notice of disposition?
01
Anyone who is involved in a legal proceeding related to the disposition of property or assets may need to fill out form 15 Notice of Disposition.
Fill
form
: Try Risk Free
For pdfFiller’s FAQs
Below is a list of the most common customer questions. If you can’t find an answer to your question, please don’t hesitate to reach out to us.
How can I edit form 15notice of disposition from Google Drive?
People who need to keep track of documents and fill out forms quickly can connect PDF Filler to their Google Docs account. This means that they can make, edit, and sign documents right from their Google Drive. Make your form 15notice of disposition into a fillable form that you can manage and sign from any internet-connected device with this add-on.
How do I make changes in form 15notice of disposition?
With pdfFiller, the editing process is straightforward. Open your form 15notice of disposition in the editor, which is highly intuitive and easy to use. There, you’ll be able to blackout, redact, type, and erase text, add images, draw arrows and lines, place sticky notes and text boxes, and much more.
How do I edit form 15notice of disposition straight from my smartphone?
The pdfFiller mobile applications for iOS and Android are the easiest way to edit documents on the go. You may get them from the Apple Store and Google Play. More info about the applications here. Install and log in to edit form 15notice of disposition.
What is form 15notice of disposition?
Form 15 Notice of Disposition is a document used to report the sale or transfer of property.
Who is required to file form 15notice of disposition?
Individuals or entities who have sold or transferred property are required to file form 15 Notice of Disposition.
How to fill out form 15notice of disposition?
Form 15 Notice of Disposition can be filled out online or through the mail by providing the necessary information about the sale or transfer of property.
What is the purpose of form 15notice of disposition?
The purpose of form 15 Notice of Disposition is to inform the relevant authorities about the sale or transfer of property for tax and regulatory purposes.
What information must be reported on form 15notice of disposition?
Form 15 Notice of Disposition requires reporting details such as the property sold, sale price, date of sale, and parties involved in the transaction.
Fill out your form 15notice of disposition online with pdfFiller!
pdfFiller is an end-to-end solution for managing, creating, and editing documents and forms in the cloud. Save time and hassle by preparing your tax forms online.
Form 15notice Of Disposition is not the form you're looking for?Search for another form here.
Relevant keywords
Related Forms
If you believe that this page should be taken down, please follow our DMCA take down process
here
.
This form may include fields for payment information. Data entered in these fields is not covered by PCI DSS compliance.