Get the free Social Services DiplomaVancouver Island UniversityCanada
Show details
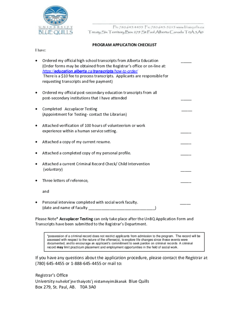
Diploma of Social Work Program
APPLICATION
ANSI,
Thank you for your interest in the Diploma of Social Work Program at University guillotine thaiyotsi
nistameyimkanak Blue Quills. This two year educational
We are not affiliated with any brand or entity on this form
Get, Create, Make and Sign social services diplomavancouver island
Edit your social services diplomavancouver island form online
Type text, complete fillable fields, insert images, highlight or blackout data for discretion, add comments, and more.
Add your legally-binding signature
Draw or type your signature, upload a signature image, or capture it with your digital camera.
Share your form instantly
Email, fax, or share your social services diplomavancouver island form via URL. You can also download, print, or export forms to your preferred cloud storage service.
How to edit social services diplomavancouver island online
To use the professional PDF editor, follow these steps:
1
Set up an account. If you are a new user, click Start Free Trial and establish a profile.
2
Simply add a document. Select Add New from your Dashboard and import a file into the system by uploading it from your device or importing it via the cloud, online, or internal mail. Then click Begin editing.
3
Edit social services diplomavancouver island. Rearrange and rotate pages, add new and changed texts, add new objects, and use other useful tools. When you're done, click Done. You can use the Documents tab to merge, split, lock, or unlock your files.
4
Get your file. Select your file from the documents list and pick your export method. You may save it as a PDF, email it, or upload it to the cloud.
pdfFiller makes dealing with documents a breeze. Create an account to find out!
Uncompromising security for your PDF editing and eSignature needs
Your private information is safe with pdfFiller. We employ end-to-end encryption, secure cloud storage, and advanced access control to protect your documents and maintain regulatory compliance.
How to fill out social services diplomavancouver island
How to fill out social services diplomavancouver island
01
Obtain the application form for the social services diploma from the relevant department or website.
02
Fill out the form accurately, providing all the required personal and academic information.
03
Attach any supporting documents such as transcripts, certificates, and identification proof.
04
Submit the completed application form along with the supporting documents to the designated address or office.
05
Wait for the confirmation of acceptance and further instructions from the social services department.
Who needs social services diplomavancouver island?
01
Individuals looking to pursue a career in social services field on Vancouver Island.
02
Professionals seeking to enhance their skills and knowledge in the social services sector.
03
Students aiming to specialize in social work or related fields for better job opportunities.
Fill
form
: Try Risk Free
For pdfFiller’s FAQs
Below is a list of the most common customer questions. If you can’t find an answer to your question, please don’t hesitate to reach out to us.
How do I complete social services diplomavancouver island online?
Easy online social services diplomavancouver island completion using pdfFiller. Also, it allows you to legally eSign your form and change original PDF material. Create a free account and manage documents online.
How do I fill out social services diplomavancouver island using my mobile device?
On your mobile device, use the pdfFiller mobile app to complete and sign social services diplomavancouver island. Visit our website (https://edit-pdf-ios-android.pdffiller.com/) to discover more about our mobile applications, the features you'll have access to, and how to get started.
How do I edit social services diplomavancouver island on an Android device?
You can. With the pdfFiller Android app, you can edit, sign, and distribute social services diplomavancouver island from anywhere with an internet connection. Take use of the app's mobile capabilities.
What is social services diplomavancouver island?
Social services diplomavancouver island is a certification program offered by Vancouver Island to individuals interested in pursuing a career in social services.
Who is required to file social services diplomavancouver island?
Individuals who wish to work in the field of social services and are seeking a formal qualification in Vancouver Island must file for the social services diploma.
How to fill out social services diplomavancouver island?
To fill out the social services diplomavancouver island, individuals must contact the Vancouver Island certification program office for more information on the application process.
What is the purpose of social services diplomavancouver island?
The purpose of the social services diplomavancouver island is to provide individuals with the necessary skills and knowledge to work effectively in the field of social services.
What information must be reported on social services diplomavancouver island?
The social services diplomavancouver island may require individuals to report their educational background, work experience, and specific goals in the field of social services.
Fill out your social services diplomavancouver island online with pdfFiller!
pdfFiller is an end-to-end solution for managing, creating, and editing documents and forms in the cloud. Save time and hassle by preparing your tax forms online.
Social Services Diplomavancouver Island is not the form you're looking for?Search for another form here.
Relevant keywords
Related Forms
If you believe that this page should be taken down, please follow our DMCA take down process
here
.
This form may include fields for payment information. Data entered in these fields is not covered by PCI DSS compliance.