Get the free Jeni's Splended Ice Creams, LLC. Food Manufacturer Type Establishment Inspected
Show details
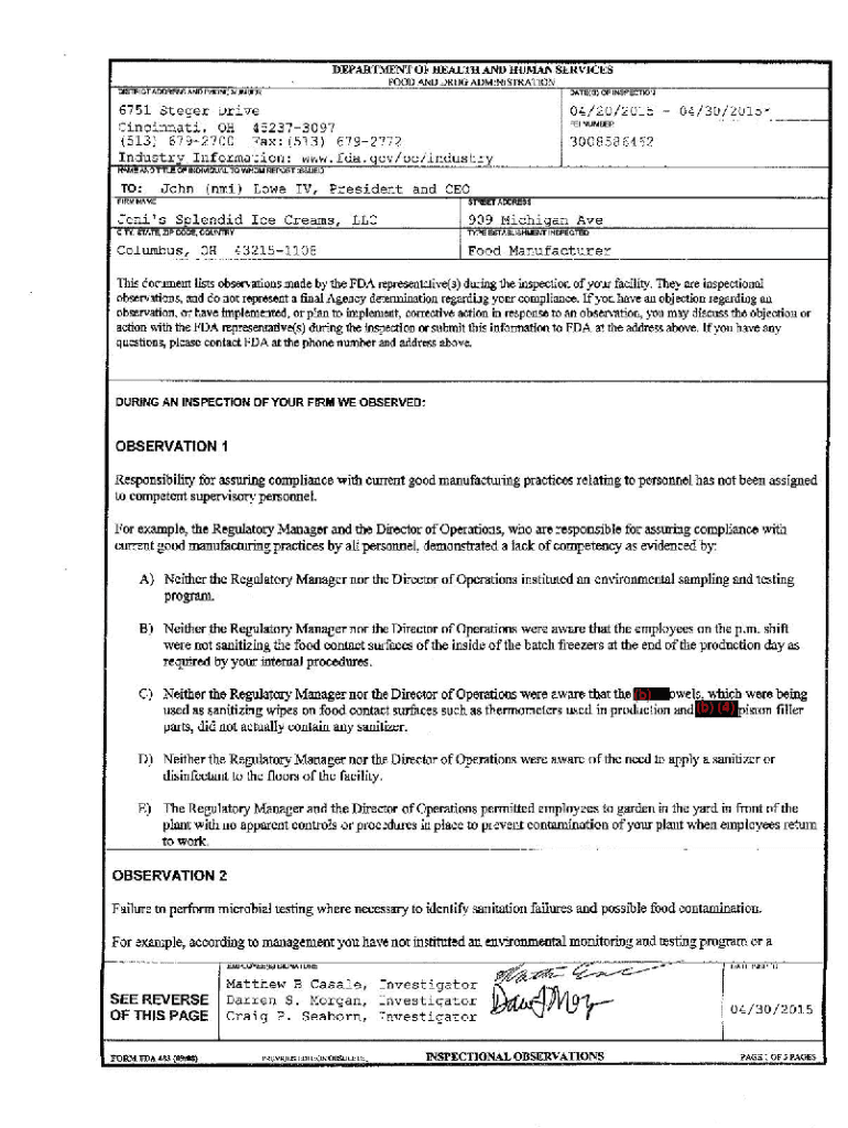
CAST\'Dictator!!SS AND PHONE!; NUM8ERDEPARTMENT OF HEAD’m AND HUMAN SERVICES
FOOD AND DRUG ADM! NlSTRATIONDATE(S) OF INSPECTION6751 Steer Drive
Cincinnati, OH 45237 3097
(513) 6792700 Fax: (513)
We are not affiliated with any brand or entity on this form
Get, Create, Make and Sign jenis splended ice creams
Edit your jenis splended ice creams form online
Type text, complete fillable fields, insert images, highlight or blackout data for discretion, add comments, and more.
Add your legally-binding signature
Draw or type your signature, upload a signature image, or capture it with your digital camera.
Share your form instantly
Email, fax, or share your jenis splended ice creams form via URL. You can also download, print, or export forms to your preferred cloud storage service.
Editing jenis splended ice creams online
Here are the steps you need to follow to get started with our professional PDF editor:
1
Log in. Click Start Free Trial and create a profile if necessary.
2
Prepare a file. Use the Add New button. Then upload your file to the system from your device, importing it from internal mail, the cloud, or by adding its URL.
3
Edit jenis splended ice creams. Rearrange and rotate pages, add and edit text, and use additional tools. To save changes and return to your Dashboard, click Done. The Documents tab allows you to merge, divide, lock, or unlock files.
4
Save your file. Choose it from the list of records. Then, shift the pointer to the right toolbar and select one of the several exporting methods: save it in multiple formats, download it as a PDF, email it, or save it to the cloud.
With pdfFiller, dealing with documents is always straightforward. Try it right now!
Uncompromising security for your PDF editing and eSignature needs
Your private information is safe with pdfFiller. We employ end-to-end encryption, secure cloud storage, and advanced access control to protect your documents and maintain regulatory compliance.
How to fill out jenis splended ice creams
How to fill out jenis splended ice creams
01
Start by grabbing a pint of Jeni's Splendid Ice Cream from the freezer.
02
Let the ice cream sit out at room temperature for a few minutes to soften.
03
Scoop the desired amount of ice cream into a bowl or cone.
04
Enjoy your delicious Jeni's Splendid Ice Cream!
Who needs jenis splended ice creams?
01
Anyone who enjoys high-quality, artisanal ice cream with unique and delicious flavors needs Jeni's Splendid Ice Creams.
02
People looking to treat themselves to a special dessert or indulge in a luxurious ice cream experience would also benefit from trying Jeni's Splendid Ice Creams.
Fill
form
: Try Risk Free
For pdfFiller’s FAQs
Below is a list of the most common customer questions. If you can’t find an answer to your question, please don’t hesitate to reach out to us.
How can I send jenis splended ice creams for eSignature?
Once you are ready to share your jenis splended ice creams, you can easily send it to others and get the eSigned document back just as quickly. Share your PDF by email, fax, text message, or USPS mail, or notarize it online. You can do all of this without ever leaving your account.
How do I edit jenis splended ice creams on an Android device?
You can make any changes to PDF files, like jenis splended ice creams, with the help of the pdfFiller Android app. Edit, sign, and send documents right from your phone or tablet. You can use the app to make document management easier wherever you are.
How do I complete jenis splended ice creams on an Android device?
Complete your jenis splended ice creams and other papers on your Android device by using the pdfFiller mobile app. The program includes all of the necessary document management tools, such as editing content, eSigning, annotating, sharing files, and so on. You will be able to view your papers at any time as long as you have an internet connection.
What is jenis splended ice creams?
Jenis Splendid Ice Creams is a company that specializes in producing high-quality ice creams using natural ingredients.
Who is required to file jenis splended ice creams?
Any individual or business entity that owns or operates a jenis splendid ice cream store is required to file jenis splendid ice creams.
How to fill out jenis splended ice creams?
To fill out jenis splendid ice creams, you need to provide detailed information about your ice cream business, including financial data, inventory records, and sales figures.
What is the purpose of jenis splended ice creams?
The purpose of jenis splendid ice creams is to track the financial performance and compliance of the ice cream business.
What information must be reported on jenis splended ice creams?
Information such as revenue, expenses, inventory levels, and sales data must be reported on jenis splendid ice creams.
Fill out your jenis splended ice creams online with pdfFiller!
pdfFiller is an end-to-end solution for managing, creating, and editing documents and forms in the cloud. Save time and hassle by preparing your tax forms online.
Jenis Splended Ice Creams is not the form you're looking for?Search for another form here.
Relevant keywords
Related Forms
If you believe that this page should be taken down, please follow our DMCA take down process
here
.
This form may include fields for payment information. Data entered in these fields is not covered by PCI DSS compliance.