Get the free Diving Medical Exam Overview for the Examining Physician
Show details
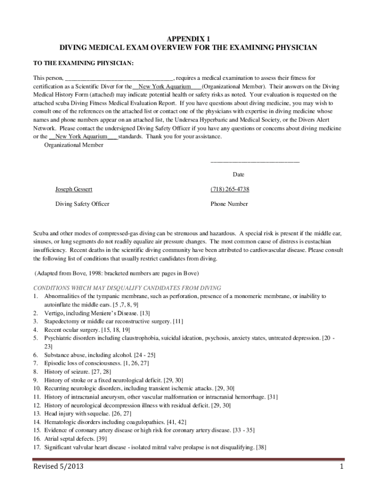
APPENDIX 1 DIVING MEDICAL EXAM OVERVIEW FOR THE EXAMINING PHYSICIAN TO THE EXAMINING PHYSICIAN: This person, ___, requires a medical examination to assess their fitness for certification as a Scientific
We are not affiliated with any brand or entity on this form
Get, Create, Make and Sign diving medical exam overview
Edit your diving medical exam overview form online
Type text, complete fillable fields, insert images, highlight or blackout data for discretion, add comments, and more.
Add your legally-binding signature
Draw or type your signature, upload a signature image, or capture it with your digital camera.
Share your form instantly
Email, fax, or share your diving medical exam overview form via URL. You can also download, print, or export forms to your preferred cloud storage service.
Editing diving medical exam overview online
Use the instructions below to start using our professional PDF editor:
1
Set up an account. If you are a new user, click Start Free Trial and establish a profile.
2
Upload a document. Select Add New on your Dashboard and transfer a file into the system in one of the following ways: by uploading it from your device or importing from the cloud, web, or internal mail. Then, click Start editing.
3
Edit diving medical exam overview. Rearrange and rotate pages, add new and changed texts, add new objects, and use other useful tools. When you're done, click Done. You can use the Documents tab to merge, split, lock, or unlock your files.
4
Save your file. Select it from your list of records. Then, move your cursor to the right toolbar and choose one of the exporting options. You can save it in multiple formats, download it as a PDF, send it by email, or store it in the cloud, among other things.
pdfFiller makes dealing with documents a breeze. Create an account to find out!
Uncompromising security for your PDF editing and eSignature needs
Your private information is safe with pdfFiller. We employ end-to-end encryption, secure cloud storage, and advanced access control to protect your documents and maintain regulatory compliance.
How to fill out diving medical exam overview
How to fill out diving medical exam overview
01
Obtain the necessary forms from your diving organization or physician.
02
Fill out personal information such as name, date of birth, address, and contact information.
03
Disclose any medical conditions or medications you are currently taking.
04
Provide a detailed medical history, including past surgeries, illnesses, and injuries.
05
Complete any required medical tests such as a physical examination, blood tests, or ECG.
06
Submit the completed form to your diving organization or physician for review.
Who needs diving medical exam overview?
01
Anyone who is planning to participate in scuba diving or other underwater activities should have a diving medical exam overview to ensure they are physically fit to dive safely.
Fill
form
: Try Risk Free
For pdfFiller’s FAQs
Below is a list of the most common customer questions. If you can’t find an answer to your question, please don’t hesitate to reach out to us.
How can I send diving medical exam overview for eSignature?
Once your diving medical exam overview is complete, you can securely share it with recipients and gather eSignatures with pdfFiller in just a few clicks. You may transmit a PDF by email, text message, fax, USPS mail, or online notarization directly from your account. Make an account right now and give it a go.
How do I make edits in diving medical exam overview without leaving Chrome?
Install the pdfFiller Google Chrome Extension to edit diving medical exam overview and other documents straight from Google search results. When reading documents in Chrome, you may edit them. Create fillable PDFs and update existing PDFs using pdfFiller.
How can I fill out diving medical exam overview on an iOS device?
Install the pdfFiller app on your iOS device to fill out papers. If you have a subscription to the service, create an account or log in to an existing one. After completing the registration process, upload your diving medical exam overview. You may now use pdfFiller's advanced features, such as adding fillable fields and eSigning documents, and accessing them from any device, wherever you are.
What is diving medical exam overview?
Diving medical exam overview is a comprehensive medical examination for individuals involved in diving activities to ensure they are fit to dive safely.
Who is required to file diving medical exam overview?
Individuals who are planning to engage in diving activities are required to file diving medical exam overview.
How to fill out diving medical exam overview?
The diving medical exam overview form can be filled out by a licensed medical professional who will assess the individual's fitness to dive.
What is the purpose of diving medical exam overview?
The purpose of diving medical exam overview is to assess the individual's physical fitness and identify any potential medical conditions that may affect their ability to dive safely.
What information must be reported on diving medical exam overview?
The diving medical exam overview form typically includes personal information, medical history, current medications, and results of physical examinations.
Fill out your diving medical exam overview online with pdfFiller!
pdfFiller is an end-to-end solution for managing, creating, and editing documents and forms in the cloud. Save time and hassle by preparing your tax forms online.
Diving Medical Exam Overview is not the form you're looking for?Search for another form here.
Relevant keywords
Related Forms
If you believe that this page should be taken down, please follow our DMCA take down process
here
.
This form may include fields for payment information. Data entered in these fields is not covered by PCI DSS compliance.