
Get the free health agencies recommend social distancing and have, in many locations, prohibited the
Show details
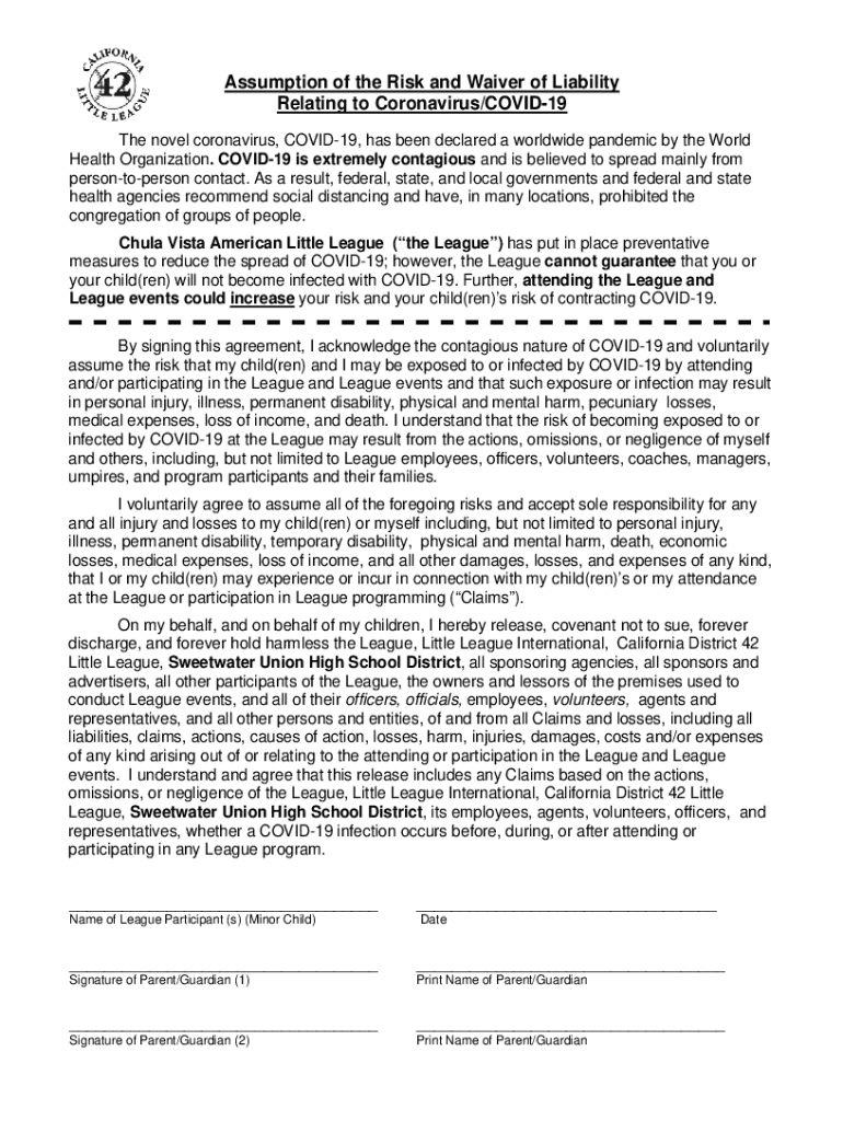
Assumption of the Risk and Waiver of Liability Relating to Coronavirus/COVID-19 The novel coronavirus, COVID-19, has been declared a worldwide pandemic by the World Health Organization. COVID-19 is
We are not affiliated with any brand or entity on this form
Get, Create, Make and Sign health agencies recommend social

Edit your health agencies recommend social form online
Type text, complete fillable fields, insert images, highlight or blackout data for discretion, add comments, and more.

Add your legally-binding signature
Draw or type your signature, upload a signature image, or capture it with your digital camera.

Share your form instantly
Email, fax, or share your health agencies recommend social form via URL. You can also download, print, or export forms to your preferred cloud storage service.
How to edit health agencies recommend social online
Follow the steps down below to take advantage of the professional PDF editor:
1
Create an account. Begin by choosing Start Free Trial and, if you are a new user, establish a profile.
2
Prepare a file. Use the Add New button to start a new project. Then, using your device, upload your file to the system by importing it from internal mail, the cloud, or adding its URL.
3
Edit health agencies recommend social. Add and replace text, insert new objects, rearrange pages, add watermarks and page numbers, and more. Click Done when you are finished editing and go to the Documents tab to merge, split, lock or unlock the file.
4
Save your file. Select it from your records list. Then, click the right toolbar and select one of the various exporting options: save in numerous formats, download as PDF, email, or cloud.
pdfFiller makes working with documents easier than you could ever imagine. Register for an account and see for yourself!
Uncompromising security for your PDF editing and eSignature needs
Your private information is safe with pdfFiller. We employ end-to-end encryption, secure cloud storage, and advanced access control to protect your documents and maintain regulatory compliance.
How to fill out health agencies recommend social

How to fill out health agencies recommend social
01
Follow the guidelines provided by the health agency.
02
Maintain social distancing of at least 6 feet.
03
Wear a mask in public settings.
04
Avoid large gatherings.
05
Practice good hygiene by washing hands frequently.
06
Stay home if feeling unwell.
Who needs health agencies recommend social?
01
Everyone should follow the health agencies' recommendations for social distancing to prevent the spread of diseases.
Fill
form
: Try Risk Free
For pdfFiller’s FAQs
Below is a list of the most common customer questions. If you can’t find an answer to your question, please don’t hesitate to reach out to us.
How can I send health agencies recommend social for eSignature?
Once your health agencies recommend social is complete, you can securely share it with recipients and gather eSignatures with pdfFiller in just a few clicks. You may transmit a PDF by email, text message, fax, USPS mail, or online notarization directly from your account. Make an account right now and give it a go.
Can I create an electronic signature for the health agencies recommend social in Chrome?
As a PDF editor and form builder, pdfFiller has a lot of features. It also has a powerful e-signature tool that you can add to your Chrome browser. With our extension, you can type, draw, or take a picture of your signature with your webcam to make your legally-binding eSignature. Choose how you want to sign your health agencies recommend social and you'll be done in minutes.
Can I create an electronic signature for signing my health agencies recommend social in Gmail?
It's easy to make your eSignature with pdfFiller, and then you can sign your health agencies recommend social right from your Gmail inbox with the help of pdfFiller's add-on for Gmail. This is a very important point: You must sign up for an account so that you can save your signatures and signed documents.
What is health agencies recommend social?
Health agencies recommend social activities to promote overall well-being and prevent illnesses.
Who is required to file health agencies recommend social?
Healthcare providers, government agencies, and non-profit organizations may be required to file health agencies recommend social recommendations.
How to fill out health agencies recommend social?
Health agencies recommend social can be filled out online through a designated platform or submitted in person at a local health department.
What is the purpose of health agencies recommend social?
The purpose of health agencies recommend social is to educate the public on healthy lifestyle choices and provide resources for maintaining good health.
What information must be reported on health agencies recommend social?
Health agencies recommend social may include information on diet, exercise, mental health, and disease prevention.
Fill out your health agencies recommend social online with pdfFiller!
pdfFiller is an end-to-end solution for managing, creating, and editing documents and forms in the cloud. Save time and hassle by preparing your tax forms online.

Health Agencies Recommend Social is not the form you're looking for?Search for another form here.
Relevant keywords
Related Forms
If you believe that this page should be taken down, please follow our DMCA take down process
here
.
This form may include fields for payment information. Data entered in these fields is not covered by PCI DSS compliance.