
Get the free Amendment No. One (1) to - CONTRACT NO. K3584
Show details
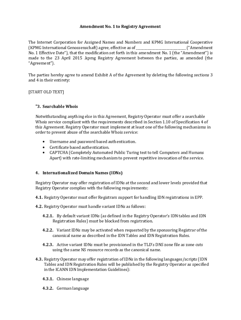
Amendment No. 1 to Registry AgreementTheInternetCorporationforAssignedNamesandNumbersandKPMGInternationalCooperative(KPMG International Genossenschaft) agree, effective as of ___ (Amendment No. 1 Effective Date), that the modification set forth in this amendment No. 1 (the Amendment) ismadetothe23April2015.kpmgRegistryAgreementbetweentheparties,
We are not affiliated with any brand or entity on this form
Get, Create, Make and Sign amendment no one 1

Edit your amendment no one 1 form online
Type text, complete fillable fields, insert images, highlight or blackout data for discretion, add comments, and more.

Add your legally-binding signature
Draw or type your signature, upload a signature image, or capture it with your digital camera.

Share your form instantly
Email, fax, or share your amendment no one 1 form via URL. You can also download, print, or export forms to your preferred cloud storage service.
Editing amendment no one 1 online
Here are the steps you need to follow to get started with our professional PDF editor:
1
Log in to your account. Start Free Trial and register a profile if you don't have one yet.
2
Upload a file. Select Add New on your Dashboard and upload a file from your device or import it from the cloud, online, or internal mail. Then click Edit.
3
Edit amendment no one 1. Add and replace text, insert new objects, rearrange pages, add watermarks and page numbers, and more. Click Done when you are finished editing and go to the Documents tab to merge, split, lock or unlock the file.
4
Save your file. Select it from your list of records. Then, move your cursor to the right toolbar and choose one of the exporting options. You can save it in multiple formats, download it as a PDF, send it by email, or store it in the cloud, among other things.
With pdfFiller, dealing with documents is always straightforward.
Uncompromising security for your PDF editing and eSignature needs
Your private information is safe with pdfFiller. We employ end-to-end encryption, secure cloud storage, and advanced access control to protect your documents and maintain regulatory compliance.
How to fill out amendment no one 1

How to fill out amendment no one 1
01
Obtain the correct amendment form no one 1.
02
Read the instructions provided with the form before filling it out.
03
Fill out your personal information accurately in the designated fields.
04
Understand the reason for the amendment and provide all necessary details.
05
Check the form for any errors or missing information before submitting it.
Who needs amendment no one 1?
01
Individuals who have made errors on their previously submitted documents.
02
People who need to update or correct information on a specific form.
03
Anyone required by law or regulation to file an amendment no one 1.
Fill
form
: Try Risk Free
For pdfFiller’s FAQs
Below is a list of the most common customer questions. If you can’t find an answer to your question, please don’t hesitate to reach out to us.
How can I manage my amendment no one 1 directly from Gmail?
You can use pdfFiller’s add-on for Gmail in order to modify, fill out, and eSign your amendment no one 1 along with other documents right in your inbox. Find pdfFiller for Gmail in Google Workspace Marketplace. Use time you spend on handling your documents and eSignatures for more important things.
How can I edit amendment no one 1 from Google Drive?
You can quickly improve your document management and form preparation by integrating pdfFiller with Google Docs so that you can create, edit and sign documents directly from your Google Drive. The add-on enables you to transform your amendment no one 1 into a dynamic fillable form that you can manage and eSign from any internet-connected device.
How can I send amendment no one 1 for eSignature?
Once your amendment no one 1 is ready, you can securely share it with recipients and collect eSignatures in a few clicks with pdfFiller. You can send a PDF by email, text message, fax, USPS mail, or notarize it online - right from your account. Create an account now and try it yourself.
What is amendment no one 1?
Amendment no one 1 refers to the first amendment to a previously filed document.
Who is required to file amendment no one 1?
The individual or entity who filed the original document is required to file amendment no one 1.
How to fill out amendment no one 1?
To fill out amendment no one 1, one must provide updated information or corrections to the original document.
What is the purpose of amendment no one 1?
The purpose of amendment no one 1 is to ensure that the information provided in the original document is accurate and up to date.
What information must be reported on amendment no one 1?
The information that must be reported on amendment no one 1 includes any changes or updates to the original document.
Fill out your amendment no one 1 online with pdfFiller!
pdfFiller is an end-to-end solution for managing, creating, and editing documents and forms in the cloud. Save time and hassle by preparing your tax forms online.

Amendment No One 1 is not the form you're looking for?Search for another form here.
Relevant keywords
Related Forms
If you believe that this page should be taken down, please follow our DMCA take down process
here
.
This form may include fields for payment information. Data entered in these fields is not covered by PCI DSS compliance.