
Get the free Legal RecordsErie County Clerk Michael P. Kearns
Show details
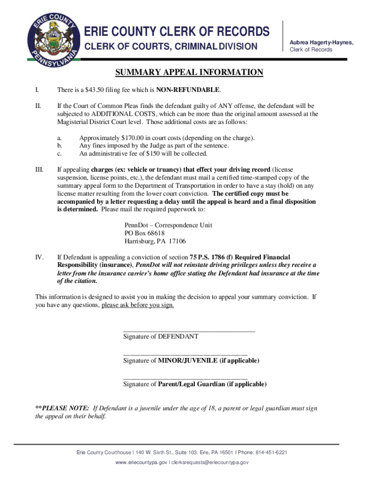
ERIE COUNTY CLERK OF RECORDS CLERK OF COURTS, CRIMINAL DIVISIONAubrea HagertyHaynes, Clerk of RecordsSUMMARY APPEAL INFORMATION I. There is a $43.50 filing fee which is NONREFUNDABLE.II. If the Court
We are not affiliated with any brand or entity on this form
Get, Create, Make and Sign legal recordserie county clerk

Edit your legal recordserie county clerk form online
Type text, complete fillable fields, insert images, highlight or blackout data for discretion, add comments, and more.

Add your legally-binding signature
Draw or type your signature, upload a signature image, or capture it with your digital camera.

Share your form instantly
Email, fax, or share your legal recordserie county clerk form via URL. You can also download, print, or export forms to your preferred cloud storage service.
Editing legal recordserie county clerk online
To use the professional PDF editor, follow these steps:
1
Register the account. Begin by clicking Start Free Trial and create a profile if you are a new user.
2
Upload a document. Select Add New on your Dashboard and transfer a file into the system in one of the following ways: by uploading it from your device or importing from the cloud, web, or internal mail. Then, click Start editing.
3
Edit legal recordserie county clerk. Add and replace text, insert new objects, rearrange pages, add watermarks and page numbers, and more. Click Done when you are finished editing and go to the Documents tab to merge, split, lock or unlock the file.
4
Get your file. Select the name of your file in the docs list and choose your preferred exporting method. You can download it as a PDF, save it in another format, send it by email, or transfer it to the cloud.
pdfFiller makes working with documents easier than you could ever imagine. Register for an account and see for yourself!
Uncompromising security for your PDF editing and eSignature needs
Your private information is safe with pdfFiller. We employ end-to-end encryption, secure cloud storage, and advanced access control to protect your documents and maintain regulatory compliance.
How to fill out legal recordserie county clerk

How to fill out legal recordserie county clerk
01
Obtain the necessary forms from the county clerk's office or website.
02
Fill out the forms completely and accurately, providing all required information.
03
Make sure to sign and date the forms as required.
04
Gather any supporting documents that may be needed, such as identification or proof of ownership.
05
Submit the completed forms and supporting documents to the county clerk's office in person or by mail.
06
Pay any required fees for filing the legal recordserie with the county clerk.
Who needs legal recordserie county clerk?
01
People who need to officially record legal documents or information, such as property deeds, marriage licenses, or court judgments, may need to utilize the services of the legal recordserie county clerk.
Fill
form
: Try Risk Free
For pdfFiller’s FAQs
Below is a list of the most common customer questions. If you can’t find an answer to your question, please don’t hesitate to reach out to us.
How do I modify my legal recordserie county clerk in Gmail?
You may use pdfFiller's Gmail add-on to change, fill out, and eSign your legal recordserie county clerk as well as other documents directly in your inbox by using the pdfFiller add-on for Gmail. pdfFiller for Gmail may be found on the Google Workspace Marketplace. Use the time you would have spent dealing with your papers and eSignatures for more vital tasks instead.
How do I execute legal recordserie county clerk online?
pdfFiller has made it simple to fill out and eSign legal recordserie county clerk. The application has capabilities that allow you to modify and rearrange PDF content, add fillable fields, and eSign the document. Begin a free trial to discover all of the features of pdfFiller, the best document editing solution.
Can I sign the legal recordserie county clerk electronically in Chrome?
As a PDF editor and form builder, pdfFiller has a lot of features. It also has a powerful e-signature tool that you can add to your Chrome browser. With our extension, you can type, draw, or take a picture of your signature with your webcam to make your legally-binding eSignature. Choose how you want to sign your legal recordserie county clerk and you'll be done in minutes.
What is legal recordserie county clerk?
Legal recordserie county clerk is a database that stores legal records maintained by the county clerk.
Who is required to file legal recordserie county clerk?
All individuals and entities involved in legal transactions are required to file legal recordserie with the county clerk.
How to fill out legal recordserie county clerk?
To fill out legal recordserie county clerk, one must provide the necessary information about the legal transaction, including dates, parties involved, and details of the transaction.
What is the purpose of legal recordserie county clerk?
The purpose of legal recordserie county clerk is to provide a centralized location for all legal records to be stored and easily accessed by the public.
What information must be reported on legal recordserie county clerk?
Information such as names of parties involved, dates of transaction, nature of transaction, and any relevant documents must be reported on legal recordserie county clerk.
Fill out your legal recordserie county clerk online with pdfFiller!
pdfFiller is an end-to-end solution for managing, creating, and editing documents and forms in the cloud. Save time and hassle by preparing your tax forms online.

Legal Recordserie County Clerk is not the form you're looking for?Search for another form here.
Relevant keywords
Related Forms
If you believe that this page should be taken down, please follow our DMCA take down process
here
.
This form may include fields for payment information. Data entered in these fields is not covered by PCI DSS compliance.