
Get the free 10-K - SEC FilingEli Lilly and Company
Show details
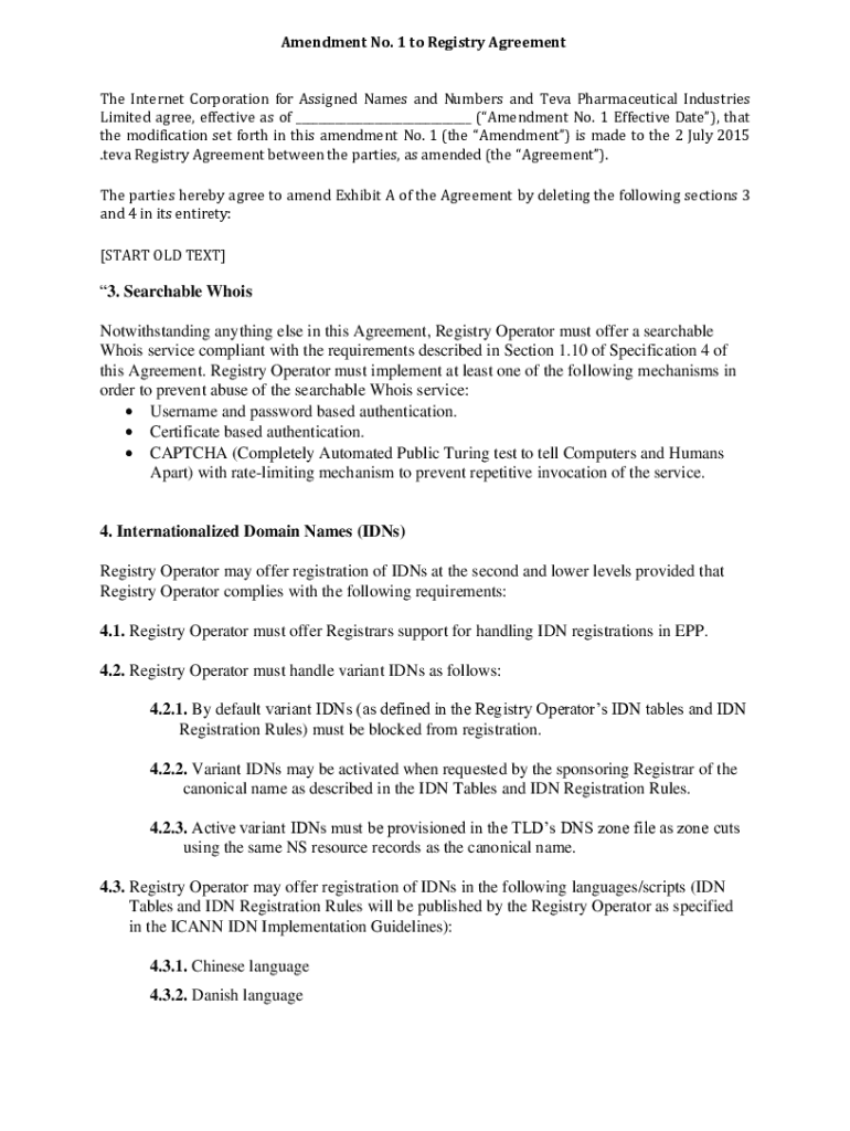
Amendment No. 1 to Registry Agreement The Internet Corporation for Assigned Names and Numbers and TEVA Pharmaceutical Industries Limited agree, effective as of ___ (Amendment No. 1 Effective Date),
We are not affiliated with any brand or entity on this form
Get, Create, Make and Sign 10-k - sec filingeli

Edit your 10-k - sec filingeli form online
Type text, complete fillable fields, insert images, highlight or blackout data for discretion, add comments, and more.

Add your legally-binding signature
Draw or type your signature, upload a signature image, or capture it with your digital camera.

Share your form instantly
Email, fax, or share your 10-k - sec filingeli form via URL. You can also download, print, or export forms to your preferred cloud storage service.
Editing 10-k - sec filingeli online
To use the services of a skilled PDF editor, follow these steps below:
1
Log in to your account. Start Free Trial and register a profile if you don't have one yet.
2
Upload a file. Select Add New on your Dashboard and upload a file from your device or import it from the cloud, online, or internal mail. Then click Edit.
3
Edit 10-k - sec filingeli. Add and change text, add new objects, move pages, add watermarks and page numbers, and more. Then click Done when you're done editing and go to the Documents tab to merge or split the file. If you want to lock or unlock the file, click the lock or unlock button.
4
Save your file. Select it in the list of your records. Then, move the cursor to the right toolbar and choose one of the available exporting methods: save it in multiple formats, download it as a PDF, send it by email, or store it in the cloud.
pdfFiller makes working with documents easier than you could ever imagine. Register for an account and see for yourself!
Uncompromising security for your PDF editing and eSignature needs
Your private information is safe with pdfFiller. We employ end-to-end encryption, secure cloud storage, and advanced access control to protect your documents and maintain regulatory compliance.
How to fill out 10-k - sec filingeli

How to fill out 10-k - sec filingeli
01
Obtain a copy of the 10-K form from the SEC website or the company's investor relations website.
02
Begin by reading the form carefully and familiarizing yourself with the sections and requirements.
03
Gather all the necessary financial information for the company, including income statements, balance sheets, and cash flow statements.
04
Fill out the required sections of the form, including business overview, risk factors, management discussion and analysis, and financial statements.
05
Ensure that all information provided is accurate and up to date.
06
Review the completed form for any errors or inaccuracies before submitting it.
07
Sign and date the form where required and submit it to the SEC within the specified deadline.
Who needs 10-k - sec filingeli?
01
Publicly traded companies in the United States are required by law to file a Form 10-K with the SEC.
02
Investors, analysts, and other stakeholders often use the 10-K form to evaluate a company's financial performance and make informed decisions.
Fill
form
: Try Risk Free
For pdfFiller’s FAQs
Below is a list of the most common customer questions. If you can’t find an answer to your question, please don’t hesitate to reach out to us.
Where do I find 10-k - sec filingeli?
The premium subscription for pdfFiller provides you with access to an extensive library of fillable forms (over 25M fillable templates) that you can download, fill out, print, and sign. You won’t have any trouble finding state-specific 10-k - sec filingeli and other forms in the library. Find the template you need and customize it using advanced editing functionalities.
Can I edit 10-k - sec filingeli on an Android device?
You can edit, sign, and distribute 10-k - sec filingeli on your mobile device from anywhere using the pdfFiller mobile app for Android; all you need is an internet connection. Download the app and begin streamlining your document workflow from anywhere.
How do I complete 10-k - sec filingeli on an Android device?
Use the pdfFiller app for Android to finish your 10-k - sec filingeli. The application lets you do all the things you need to do with documents, like add, edit, and remove text, sign, annotate, and more. There is nothing else you need except your smartphone and an internet connection to do this.
What is 10-k - sec filing?
10-K is a comprehensive summary report filed annually by a publicly traded company to the SEC. It contains detailed financial information and is used by investors to assess the financial health of the company.
Who is required to file 10-k - sec filing?
All publicly traded companies in the United States are required to file a 10-K report with the SEC.
How to fill out 10-k - sec filing?
Filling out a 10-K report involves providing detailed financial information, business operations, risks, management discussion, and analysis. It requires careful review and accuracy.
What is the purpose of 10-k - sec filing?
The purpose of filing a 10-K report is to provide investors and regulators with comprehensive and transparent information about the financial health and operations of a publicly traded company.
What information must be reported on 10-k - sec filing?
Financial statements, risk factors, business operations, management discussion and analysis, auditor's report, and other relevant information must be reported on a 10-K filing.
Fill out your 10-k - sec filingeli online with pdfFiller!
pdfFiller is an end-to-end solution for managing, creating, and editing documents and forms in the cloud. Save time and hassle by preparing your tax forms online.

10-K - Sec Filingeli is not the form you're looking for?Search for another form here.
Relevant keywords
Related Forms
If you believe that this page should be taken down, please follow our DMCA take down process
here
.
This form may include fields for payment information. Data entered in these fields is not covered by PCI DSS compliance.