Get the free Use of School District Credit Cards POLICY NO - Connect Suite
Show details
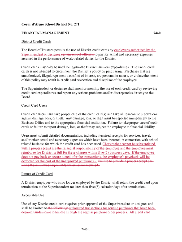
Four Darlene School District No. 271 FINANCIAL MANAGEMENT7440District Credit Cards The Board of Trustees permits the use of District credit cards by employees authorized by the Superintendent or designee
We are not affiliated with any brand or entity on this form
Get, Create, Make and Sign use of school district
Edit your use of school district form online
Type text, complete fillable fields, insert images, highlight or blackout data for discretion, add comments, and more.
Add your legally-binding signature
Draw or type your signature, upload a signature image, or capture it with your digital camera.
Share your form instantly
Email, fax, or share your use of school district form via URL. You can also download, print, or export forms to your preferred cloud storage service.
How to edit use of school district online
To use our professional PDF editor, follow these steps:
1
Register the account. Begin by clicking Start Free Trial and create a profile if you are a new user.
2
Upload a file. Select Add New on your Dashboard and upload a file from your device or import it from the cloud, online, or internal mail. Then click Edit.
3
Edit use of school district. Add and replace text, insert new objects, rearrange pages, add watermarks and page numbers, and more. Click Done when you are finished editing and go to the Documents tab to merge, split, lock or unlock the file.
4
Save your file. Select it in the list of your records. Then, move the cursor to the right toolbar and choose one of the available exporting methods: save it in multiple formats, download it as a PDF, send it by email, or store it in the cloud.
pdfFiller makes working with documents easier than you could ever imagine. Try it for yourself by creating an account!
Uncompromising security for your PDF editing and eSignature needs
Your private information is safe with pdfFiller. We employ end-to-end encryption, secure cloud storage, and advanced access control to protect your documents and maintain regulatory compliance.
How to fill out use of school district
How to fill out use of school district
01
Begin by gathering all necessary information, such as school district policies and guidelines.
02
Obtain the necessary forms or documents needed to request use of school district facilities.
03
Fill out the forms completely and accurately, providing all required information.
04
Submit the completed forms to the appropriate school district office or individual for review and approval.
05
Be sure to follow up on your request if necessary and keep communication open with the school district.
Who needs use of school district?
01
Individuals or organizations looking to use school district facilities for events, meetings, or other purposes.
02
Parents or students who may need to request use of school district resources for educational purposes.
Fill
form
: Try Risk Free
For pdfFiller’s FAQs
Below is a list of the most common customer questions. If you can’t find an answer to your question, please don’t hesitate to reach out to us.
How do I fill out use of school district using my mobile device?
You can easily create and fill out legal forms with the help of the pdfFiller mobile app. Complete and sign use of school district and other documents on your mobile device using the application. Visit pdfFiller’s webpage to learn more about the functionalities of the PDF editor.
How do I edit use of school district on an Android device?
You can make any changes to PDF files, like use of school district, with the help of the pdfFiller Android app. Edit, sign, and send documents right from your phone or tablet. You can use the app to make document management easier wherever you are.
How do I fill out use of school district on an Android device?
Use the pdfFiller mobile app to complete your use of school district on an Android device. The application makes it possible to perform all needed document management manipulations, like adding, editing, and removing text, signing, annotating, and more. All you need is your smartphone and an internet connection.
What is use of school district?
The use of school district is used to determine the property taxes that individuals and businesses within a certain school district must pay to support local education.
Who is required to file use of school district?
Property owners and businesses located within a school district are required to file use of school district forms.
How to fill out use of school district?
To fill out a use of school district form, individuals must provide information about the property they own or operate in the school district and the intended use of the property.
What is the purpose of use of school district?
The purpose of the use of school district is to ensure that property owners and businesses within the district are contributing their fair share of taxes to support local schools.
What information must be reported on use of school district?
Information such as property ownership details, property use details, and the assessed value of the property must be reported on use of school district forms.
Fill out your use of school district online with pdfFiller!
pdfFiller is an end-to-end solution for managing, creating, and editing documents and forms in the cloud. Save time and hassle by preparing your tax forms online.
Use Of School District is not the form you're looking for?Search for another form here.
Relevant keywords
Related Forms
If you believe that this page should be taken down, please follow our DMCA take down process
here
.
This form may include fields for payment information. Data entered in these fields is not covered by PCI DSS compliance.