Get the free Deferred Net Pay Form
Show details
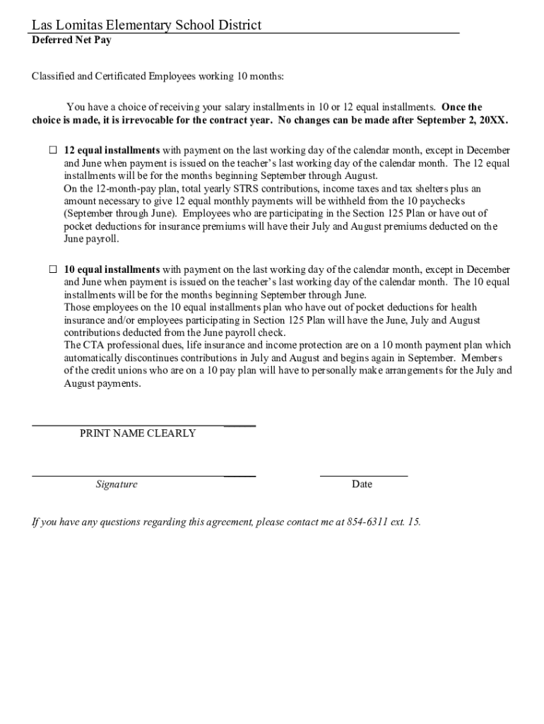
Las limit Elementary School District Deferred Net Pay Classified and Certificated Employees working 10 months: You have a choice of receiving your salary installments in 10 or 12 equal installments.
We are not affiliated with any brand or entity on this form
Get, Create, Make and Sign deferred net pay form
Edit your deferred net pay form form online
Type text, complete fillable fields, insert images, highlight or blackout data for discretion, add comments, and more.
Add your legally-binding signature
Draw or type your signature, upload a signature image, or capture it with your digital camera.
Share your form instantly
Email, fax, or share your deferred net pay form form via URL. You can also download, print, or export forms to your preferred cloud storage service.
Editing deferred net pay form online
Here are the steps you need to follow to get started with our professional PDF editor:
1
Register the account. Begin by clicking Start Free Trial and create a profile if you are a new user.
2
Prepare a file. Use the Add New button to start a new project. Then, using your device, upload your file to the system by importing it from internal mail, the cloud, or adding its URL.
3
Edit deferred net pay form. Rearrange and rotate pages, add new and changed texts, add new objects, and use other useful tools. When you're done, click Done. You can use the Documents tab to merge, split, lock, or unlock your files.
4
Get your file. Select your file from the documents list and pick your export method. You may save it as a PDF, email it, or upload it to the cloud.
pdfFiller makes working with documents easier than you could ever imagine. Create an account to find out for yourself how it works!
Uncompromising security for your PDF editing and eSignature needs
Your private information is safe with pdfFiller. We employ end-to-end encryption, secure cloud storage, and advanced access control to protect your documents and maintain regulatory compliance.
How to fill out deferred net pay form
How to fill out deferred net pay form
01
Enter your personal information including your name, employee ID, and contact information.
02
Indicate the pay period for which you are submitting the form.
03
Specify the amount of net pay that you wish to defer to a later date.
04
Sign and date the form to certify that the information provided is accurate.
05
Submit the completed form to your HR department for processing.
Who needs deferred net pay form?
01
Employees who wish to defer a portion of their net pay to a later date may need to fill out a deferred net pay form.
Fill
form
: Try Risk Free
For pdfFiller’s FAQs
Below is a list of the most common customer questions. If you can’t find an answer to your question, please don’t hesitate to reach out to us.
How can I send deferred net pay form for eSignature?
When you're ready to share your deferred net pay form, you can send it to other people and get the eSigned document back just as quickly. Share your PDF by email, fax, text message, or USPS mail. You can also notarize your PDF on the web. You don't have to leave your account to do this.
How can I get deferred net pay form?
The premium pdfFiller subscription gives you access to over 25M fillable templates that you can download, fill out, print, and sign. The library has state-specific deferred net pay form and other forms. Find the template you need and change it using powerful tools.
How do I edit deferred net pay form on an Android device?
With the pdfFiller Android app, you can edit, sign, and share deferred net pay form on your mobile device from any place. All you need is an internet connection to do this. Keep your documents in order from anywhere with the help of the app!
What is deferred net pay form?
Deferred net pay form is a form used to report any net pay that is paid to an employee at a later date.
Who is required to file deferred net pay form?
Employers are required to file deferred net pay form for any employees who are paid their net pay at a later date.
How to fill out deferred net pay form?
Deferred net pay form can be filled out by providing the necessary information about the employee, the amount of net pay, and the date it will be paid.
What is the purpose of deferred net pay form?
The purpose of deferred net pay form is to ensure that any net pay that is paid at a later date is properly reported to the relevant authorities.
What information must be reported on deferred net pay form?
The deferred net pay form must include information about the employee, the amount of net pay, and the date it will be paid.
Fill out your deferred net pay form online with pdfFiller!
pdfFiller is an end-to-end solution for managing, creating, and editing documents and forms in the cloud. Save time and hassle by preparing your tax forms online.
Deferred Net Pay Form is not the form you're looking for?Search for another form here.
Relevant keywords
Related Forms
If you believe that this page should be taken down, please follow our DMCA take down process
here
.
This form may include fields for payment information. Data entered in these fields is not covered by PCI DSS compliance.