Get the free Academic Personnel Appointments Requiring Board of ...
Show details
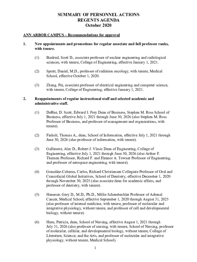
SUMMARY OF PERSONNEL ACTIONS REGENTS AGENDA October 2020 ANN ARBOR CAMPUS Recommendations for approval 1.2. New appointments and promotions for regular associate and full professor ranks, with tenure.
We are not affiliated with any brand or entity on this form
Get, Create, Make and Sign academic personnel appointments requiring
Edit your academic personnel appointments requiring form online
Type text, complete fillable fields, insert images, highlight or blackout data for discretion, add comments, and more.
Add your legally-binding signature
Draw or type your signature, upload a signature image, or capture it with your digital camera.
Share your form instantly
Email, fax, or share your academic personnel appointments requiring form via URL. You can also download, print, or export forms to your preferred cloud storage service.
Editing academic personnel appointments requiring online
To use our professional PDF editor, follow these steps:
1
Log in. Click Start Free Trial and create a profile if necessary.
2
Prepare a file. Use the Add New button. Then upload your file to the system from your device, importing it from internal mail, the cloud, or by adding its URL.
3
Edit academic personnel appointments requiring. Rearrange and rotate pages, add and edit text, and use additional tools. To save changes and return to your Dashboard, click Done. The Documents tab allows you to merge, divide, lock, or unlock files.
4
Get your file. Select your file from the documents list and pick your export method. You may save it as a PDF, email it, or upload it to the cloud.
With pdfFiller, dealing with documents is always straightforward. Now is the time to try it!
Uncompromising security for your PDF editing and eSignature needs
Your private information is safe with pdfFiller. We employ end-to-end encryption, secure cloud storage, and advanced access control to protect your documents and maintain regulatory compliance.
How to fill out academic personnel appointments requiring
How to fill out academic personnel appointments requiring
01
Obtain the necessary forms for academic personnel appointments from the appropriate department or human resources office.
02
Fill out the forms completely and accurately, providing all required information such as personal details, educational background, previous experience, and references.
03
Submit the completed forms along with any supporting documents, such as a CV or letters of recommendation, to the appropriate department or human resources office.
04
Attend any interviews or meetings required as part of the appointment process.
05
Await confirmation of the appointment from the relevant authorities.
Who needs academic personnel appointments requiring?
01
Academic institutions, such as universities or colleges, who are looking to hire new faculty or staff members.
Fill
form
: Try Risk Free
For pdfFiller’s FAQs
Below is a list of the most common customer questions. If you can’t find an answer to your question, please don’t hesitate to reach out to us.
How can I send academic personnel appointments requiring to be eSigned by others?
Once your academic personnel appointments requiring is complete, you can securely share it with recipients and gather eSignatures with pdfFiller in just a few clicks. You may transmit a PDF by email, text message, fax, USPS mail, or online notarization directly from your account. Make an account right now and give it a go.
How do I edit academic personnel appointments requiring straight from my smartphone?
You can do so easily with pdfFiller’s applications for iOS and Android devices, which can be found at the Apple Store and Google Play Store, respectively. Alternatively, you can get the app on our web page: https://edit-pdf-ios-android.pdffiller.com/. Install the application, log in, and start editing academic personnel appointments requiring right away.
How do I fill out academic personnel appointments requiring using my mobile device?
Use the pdfFiller mobile app to fill out and sign academic personnel appointments requiring. Visit our website (https://edit-pdf-ios-android.pdffiller.com/) to learn more about our mobile applications, their features, and how to get started.
What is academic personnel appointments requiring?
Academic personnel appointments require a formal process of appointment for faculty and staff positions within educational institutions.
Who is required to file academic personnel appointments requiring?
Academic personnel appointments requiring are typically filed by Human Resources or Academic Affairs departments within educational institutions.
How to fill out academic personnel appointments requiring?
Academic personnel appointments requiring can be filled out by providing detailed information about the individual being appointed, including their qualifications, position title, start date, and any other relevant details.
What is the purpose of academic personnel appointments requiring?
The purpose of academic personnel appointments requiring is to ensure that individuals being appointed to faculty and staff positions meet the necessary qualifications and standards set by the institution.
What information must be reported on academic personnel appointments requiring?
Information that must be reported on academic personnel appointments requiring includes the individual's full name, contact information, educational background, work experience, position title, start date, and any other relevant details.
Fill out your academic personnel appointments requiring online with pdfFiller!
pdfFiller is an end-to-end solution for managing, creating, and editing documents and forms in the cloud. Save time and hassle by preparing your tax forms online.
Academic Personnel Appointments Requiring is not the form you're looking for?Search for another form here.
Relevant keywords
Related Forms
If you believe that this page should be taken down, please follow our DMCA take down process
here
.
This form may include fields for payment information. Data entered in these fields is not covered by PCI DSS compliance.