Get the free In CONSIDERATION for participation in Events hosted by Aftermath Larp and/or Brandon...
Show details
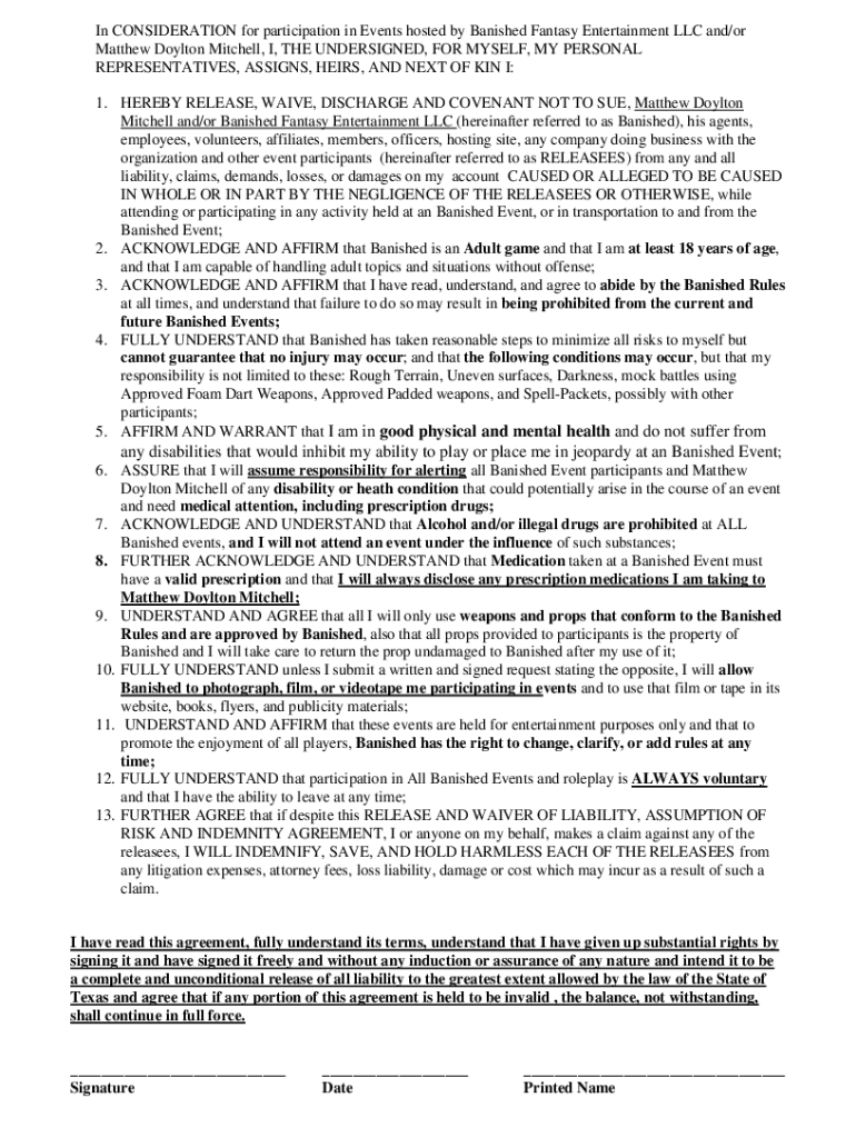
In CONSIDERATION for participation in Events hosted by Banished Fantasy Entertainment LLC and/or Matthew Bolton Mitchell, I, THE UNDERSIGNED, FOR MYSELF, MY PERSONAL REPRESENTATIVES, ASSIGNS, HEIRS,
We are not affiliated with any brand or entity on this form
Get, Create, Make and Sign in consideration for participation
Edit your in consideration for participation form online
Type text, complete fillable fields, insert images, highlight or blackout data for discretion, add comments, and more.
Add your legally-binding signature
Draw or type your signature, upload a signature image, or capture it with your digital camera.
Share your form instantly
Email, fax, or share your in consideration for participation form via URL. You can also download, print, or export forms to your preferred cloud storage service.
Editing in consideration for participation online
Here are the steps you need to follow to get started with our professional PDF editor:
1
Log in to your account. Start Free Trial and register a profile if you don't have one.
2
Upload a document. Select Add New on your Dashboard and transfer a file into the system in one of the following ways: by uploading it from your device or importing from the cloud, web, or internal mail. Then, click Start editing.
3
Edit in consideration for participation. Add and change text, add new objects, move pages, add watermarks and page numbers, and more. Then click Done when you're done editing and go to the Documents tab to merge or split the file. If you want to lock or unlock the file, click the lock or unlock button.
4
Save your file. Select it from your list of records. Then, move your cursor to the right toolbar and choose one of the exporting options. You can save it in multiple formats, download it as a PDF, send it by email, or store it in the cloud, among other things.
pdfFiller makes working with documents easier than you could ever imagine. Register for an account and see for yourself!
Uncompromising security for your PDF editing and eSignature needs
Your private information is safe with pdfFiller. We employ end-to-end encryption, secure cloud storage, and advanced access control to protect your documents and maintain regulatory compliance.
How to fill out in consideration for participation
How to fill out in consideration for participation
01
Read all the guidelines and instructions carefully.
02
Provide all the required information accurately.
03
Submit the completed form before the deadline.
04
Be honest and transparent in your responses.
Who needs in consideration for participation?
01
Individuals interested in participating in the event/activity.
02
Anyone who meets the eligibility criteria for participation.
Fill
form
: Try Risk Free
For pdfFiller’s FAQs
Below is a list of the most common customer questions. If you can’t find an answer to your question, please don’t hesitate to reach out to us.
How can I get in consideration for participation?
The premium version of pdfFiller gives you access to a huge library of fillable forms (more than 25 million fillable templates). You can download, fill out, print, and sign them all. State-specific in consideration for participation and other forms will be easy to find in the library. Find the template you need and use advanced editing tools to make it your own.
How do I make changes in in consideration for participation?
The editing procedure is simple with pdfFiller. Open your in consideration for participation in the editor, which is quite user-friendly. You may use it to blackout, redact, write, and erase text, add photos, draw arrows and lines, set sticky notes and text boxes, and much more.
How do I fill out in consideration for participation on an Android device?
On Android, use the pdfFiller mobile app to finish your in consideration for participation. Adding, editing, deleting text, signing, annotating, and more are all available with the app. All you need is a smartphone and internet.
What is in consideration for participation?
In consideration for participation refers to the act of applying or submitting information to be considered for a specific opportunity or program.
Who is required to file in consideration for participation?
Individuals or organizations who are interested in participating in a specific opportunity or program are required to file in consideration for participation.
How to fill out in consideration for participation?
To fill out in consideration for participation, one must typically complete an application form or submit required documentation as outlined by the opportunity or program.
What is the purpose of in consideration for participation?
The purpose of in consideration for participation is to allow interested parties to formally express their desire to be considered for a particular opportunity or program.
What information must be reported on in consideration for participation?
The information required for in consideration for participation may vary depending on the specific opportunity or program, but commonly includes personal or organizational details, qualifications, and intentions.
Fill out your in consideration for participation online with pdfFiller!
pdfFiller is an end-to-end solution for managing, creating, and editing documents and forms in the cloud. Save time and hassle by preparing your tax forms online.
In Consideration For Participation is not the form you're looking for?Search for another form here.
Relevant keywords
Related Forms
If you believe that this page should be taken down, please follow our DMCA take down process
here
.
This form may include fields for payment information. Data entered in these fields is not covered by PCI DSS compliance.