Get the free Building a Website(Module5) Q1. For every incomplete stat
Show details
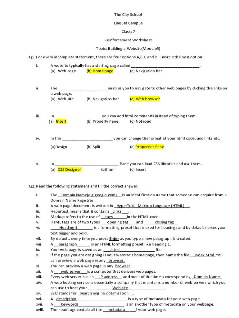
The City School Liquid Campus Class: 7 Reinforcement Worksheet Topic: Building a Website(Module5) Q1. For every incomplete statement, there are four options A, B, C and D. Encircle the best option.
We are not affiliated with any brand or entity on this form
Get, Create, Make and Sign building a websitemodule5 q1
Edit your building a websitemodule5 q1 form online
Type text, complete fillable fields, insert images, highlight or blackout data for discretion, add comments, and more.
Add your legally-binding signature
Draw or type your signature, upload a signature image, or capture it with your digital camera.
Share your form instantly
Email, fax, or share your building a websitemodule5 q1 form via URL. You can also download, print, or export forms to your preferred cloud storage service.
How to edit building a websitemodule5 q1 online
To use our professional PDF editor, follow these steps:
1
Set up an account. If you are a new user, click Start Free Trial and establish a profile.
2
Prepare a file. Use the Add New button to start a new project. Then, using your device, upload your file to the system by importing it from internal mail, the cloud, or adding its URL.
3
Edit building a websitemodule5 q1. Text may be added and replaced, new objects can be included, pages can be rearranged, watermarks and page numbers can be added, and so on. When you're done editing, click Done and then go to the Documents tab to combine, divide, lock, or unlock the file.
4
Get your file. When you find your file in the docs list, click on its name and choose how you want to save it. To get the PDF, you can save it, send an email with it, or move it to the cloud.
pdfFiller makes dealing with documents a breeze. Create an account to find out!
Uncompromising security for your PDF editing and eSignature needs
Your private information is safe with pdfFiller. We employ end-to-end encryption, secure cloud storage, and advanced access control to protect your documents and maintain regulatory compliance.
How to fill out building a websitemodule5 q1
How to fill out building a websitemodule5 q1
01
Choose a domain name and purchase it from a domain registrar.
02
Select a web hosting provider and set up your website hosting.
03
Choose a website builder platform or content management system (CMS) to design your website.
04
Customize the design of your website by selecting themes, templates, and adding your own content.
05
Create web pages for different sections of your website such as home, about, services, and contact.
06
Add functionality to your website by installing plugins or adding custom code.
07
Optimize your website for search engines (SEO) to improve visibility and attract traffic.
08
Test your website on different devices and browsers to ensure compatibility and responsiveness.
09
Launch your website by publishing it online for visitors to access.
10
Monitor the performance of your website using analytics tools and make necessary updates or improvements.
Who needs building a websitemodule5 q1?
01
Business owners looking to establish an online presence for their company.
02
Entrepreneurs wanting to showcase their products or services to a larger audience.
03
Bloggers or content creators looking to share their work with a wider audience.
04
Nonprofit organizations seeking to raise awareness and support for their cause.
05
Individuals interested in creating a personal website to share their portfolio, resume, or hobbies.
Fill
form
: Try Risk Free
For pdfFiller’s FAQs
Below is a list of the most common customer questions. If you can’t find an answer to your question, please don’t hesitate to reach out to us.
How can I edit building a websitemodule5 q1 on a smartphone?
The pdfFiller apps for iOS and Android smartphones are available in the Apple Store and Google Play Store. You may also get the program at https://edit-pdf-ios-android.pdffiller.com/. Open the web app, sign in, and start editing building a websitemodule5 q1.
How can I fill out building a websitemodule5 q1 on an iOS device?
Make sure you get and install the pdfFiller iOS app. Next, open the app and log in or set up an account to use all of the solution's editing tools. If you want to open your building a websitemodule5 q1, you can upload it from your device or cloud storage, or you can type the document's URL into the box on the right. After you fill in all of the required fields in the document and eSign it, if that is required, you can save or share it with other people.
How do I complete building a websitemodule5 q1 on an Android device?
Use the pdfFiller Android app to finish your building a websitemodule5 q1 and other documents on your Android phone. The app has all the features you need to manage your documents, like editing content, eSigning, annotating, sharing files, and more. At any time, as long as there is an internet connection.
What is building a websitemodule5 q1?
Building a websitemodule5 q1 refers to the process of creating a website using a specific module or tool for a certain purpose.
Who is required to file building a websitemodule5 q1?
Building a websitemodule5 q1 filing requirement may vary depending on the specific circumstances and regulations. It is advisable to consult with a professional or regulatory authority.
How to fill out building a websitemodule5 q1?
Filling out building a websitemodule5 q1 may involve providing specific information and details related to the website creation process using the designated module. It is recommended to follow the instructions provided.
What is the purpose of building a websitemodule5 q1?
The purpose of building a websitemodule5 q1 is to document and report the details of website creation using a particular module or tool for record-keeping and compliance purposes.
What information must be reported on building a websitemodule5 q1?
The information reported on building a websitemodule5 q1 may include details such as the module used, website objectives, project timeline, and any other relevant information related to the website creation process.
Fill out your building a websitemodule5 q1 online with pdfFiller!
pdfFiller is an end-to-end solution for managing, creating, and editing documents and forms in the cloud. Save time and hassle by preparing your tax forms online.
Building A websitemodule5 q1 is not the form you're looking for?Search for another form here.
Relevant keywords
Related Forms
If you believe that this page should be taken down, please follow our DMCA take down process
here
.
This form may include fields for payment information. Data entered in these fields is not covered by PCI DSS compliance.