Form preview

Get the free DBPR BAR 7 - Application for Initial and Continuing ...

Get Form
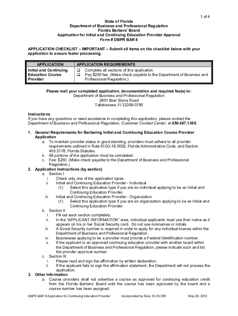
1 of 4State of Florida Department of Business and Professional Regulation Florida Barbers Board Application for Initial and Continuing Education Provider Approval Form # BPR BAR 8 APPLICATION CHECKLIST
We are not affiliated with any brand or entity on this form

Get, Create, Make and Sign dbpr bar 7

Edit
Edit your dbpr bar 7 form online
Type text, complete fillable fields, insert images, highlight or blackout data for discretion, add comments, and more.
Add
Add your legally-binding signature
Draw or type your signature, upload a signature image, or capture it with your digital camera.
Share
Share your form instantly
Email, fax, or share your dbpr bar 7 form via URL. You can also download, print, or export forms to your preferred cloud storage service.

How to edit dbpr bar 7 online

9.5
Ease of Setup
pdfFiller User Ratings on G2
9.0
Ease of Use
pdfFiller User Ratings on G2
To use our professional PDF editor, follow these steps:
1
Log in. Click Start Free Trial and create a profile if necessary.
2
Simply add a document. Select Add New from your Dashboard and import a file into the system by uploading it from your device or importing it via the cloud, online, or internal mail. Then click Begin editing.
3
Edit dbpr bar 7. Add and change text, add new objects, move pages, add watermarks and page numbers, and more. Then click Done when you're done editing and go to the Documents tab to merge or split the file. If you want to lock or unlock the file, click the lock or unlock button.
4
Save your file. Select it in the list of your records. Then, move the cursor to the right toolbar and choose one of the available exporting methods: save it in multiple formats, download it as a PDF, send it by email, or store it in the cloud.
pdfFiller makes working with documents easier than you could ever imagine. Try it for yourself by creating an account!

Uncompromising security for your PDF editing and eSignature needs

Your private information is safe with pdfFiller. We employ end-to-end encryption, secure cloud storage, and advanced access control to protect your documents and maintain regulatory compliance.
GDPR
AICPA SOC 2
PCI
HIPAA
CCPA
FDA

How to fill out dbpr bar 7

Illustration

How to fill out dbpr bar 7

01
Obtain a DBPR Bar 7 form from the Florida Department of Business and Professional Regulation website.
02
Fill out the legal name and Social Security number of the applicant.
03
Provide information about the establishment where alcohol will be served, including the name and address.
04
Answer all questions truthfully and accurately, including any criminal history or disciplinary actions.
05
Sign and date the form before submitting it to the appropriate department for processing.

Who needs dbpr bar 7?

01
Any individual or business seeking to obtain a license to serve alcohol in the state of Florida needs to fill out and submit a DBPR Bar 7 form.
Fill form : Try Risk Free
Users Most Likely To Recommend - Summer 2025
Grid Leader in Small-Business - Summer 2025
High Performer - Summer 2025
Regional Leader - Summer 2025
Easiest To Do Business With - Summer 2025
Best Meets Requirements- Summer 2025
Rate the form
4.6
Satisfied
51 Votes

For pdfFiller’s FAQs

Below is a list of the most common customer questions. If you can’t find an answer to your question, please don’t hesitate to reach out to us.

Using pdfFiller's Gmail add-on, you can edit, fill out, and sign your dbpr bar 7 and other papers directly in your email. You may get it through Google Workspace Marketplace. Make better use of your time by handling your papers and eSignatures.
pdfFiller has made it easy to fill out and sign dbpr bar 7. You can use the solution to change and move PDF content, add fields that can be filled in, and sign the document electronically. Start a free trial of pdfFiller, the best tool for editing and filling in documents.
Complete your dbpr bar 7 and other papers on your Android device by using the pdfFiller mobile app. The program includes all of the necessary document management tools, such as editing content, eSigning, annotating, sharing files, and so on. You will be able to view your papers at any time as long as you have an internet connection.
DBPR Bar 7 is a form that establishments serving alcohol in Florida must file to report their gross receipts.
Any establishment in Florida that serves alcohol and meets certain criteria must file DBPR Bar 7.
DBPR Bar 7 can be filled out online on the Florida Department of Business and Professional Regulation website.
The purpose of DBPR Bar 7 is to track the gross receipts of establishments serving alcohol in Florida.
The information reported on DBPR Bar 7 includes gross receipts from alcohol sales, number of employees, and other related financial information.
Fill out your dbpr bar 7 online with pdfFiller!

pdfFiller is an end-to-end solution for managing, creating, and editing documents and forms in the cloud. Save time and hassle by preparing your tax forms online.

Get started now
Form preview
If you believe that this page should be taken down, please follow our DMCA take down process here .
This form may include fields for payment information. Data entered in these fields is not covered by PCI DSS compliance.