
Get the free FORM 31 - Proof of Claim (Sections 50
Show details
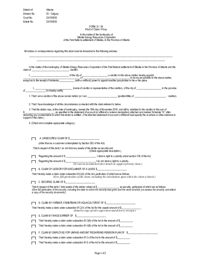
District of: Division No. Court No. Estate No. Alberta 02 Calgary 25095053 25095053 FORM 31 / 36 Proof of Claim / Proxy In the matter of the bankruptcy of Silesia Energy Resources Corporation of the
We are not affiliated with any brand or entity on this form
Get, Create, Make and Sign form 31 - proof

Edit your form 31 - proof form online
Type text, complete fillable fields, insert images, highlight or blackout data for discretion, add comments, and more.

Add your legally-binding signature
Draw or type your signature, upload a signature image, or capture it with your digital camera.

Share your form instantly
Email, fax, or share your form 31 - proof form via URL. You can also download, print, or export forms to your preferred cloud storage service.
Editing form 31 - proof online
To use the professional PDF editor, follow these steps:
1
Sign into your account. In case you're new, it's time to start your free trial.
2
Prepare a file. Use the Add New button. Then upload your file to the system from your device, importing it from internal mail, the cloud, or by adding its URL.
3
Edit form 31 - proof. Text may be added and replaced, new objects can be included, pages can be rearranged, watermarks and page numbers can be added, and so on. When you're done editing, click Done and then go to the Documents tab to combine, divide, lock, or unlock the file.
4
Save your file. Choose it from the list of records. Then, shift the pointer to the right toolbar and select one of the several exporting methods: save it in multiple formats, download it as a PDF, email it, or save it to the cloud.
With pdfFiller, it's always easy to deal with documents.
Uncompromising security for your PDF editing and eSignature needs
Your private information is safe with pdfFiller. We employ end-to-end encryption, secure cloud storage, and advanced access control to protect your documents and maintain regulatory compliance.
How to fill out form 31 - proof

How to fill out form 31 - proof
01
Gather all necessary documents and information required to fill out the form.
02
Carefully read the instructions provided on the form.
03
Fill out all the required fields in the form accurately and honestly.
04
Double-check all the information provided to ensure it is correct.
05
Sign and date the form where required.
06
Submit the completed form as per the instructions provided.
Who needs form 31 - proof?
01
Individuals who need to provide proof of a certain criteria or information may need form 31 - proof.
02
This may include students needing to provide proof of enrollment, employees needing to provide proof of income, or individuals needing to provide proof of residency.
Fill
form
: Try Risk Free
For pdfFiller’s FAQs
Below is a list of the most common customer questions. If you can’t find an answer to your question, please don’t hesitate to reach out to us.
Can I sign the form 31 - proof electronically in Chrome?
Yes. With pdfFiller for Chrome, you can eSign documents and utilize the PDF editor all in one spot. Create a legally enforceable eSignature by sketching, typing, or uploading a handwritten signature image. You may eSign your form 31 - proof in seconds.
How do I fill out form 31 - proof using my mobile device?
Use the pdfFiller mobile app to complete and sign form 31 - proof on your mobile device. Visit our web page (https://edit-pdf-ios-android.pdffiller.com/) to learn more about our mobile applications, the capabilities you’ll have access to, and the steps to take to get up and running.
How do I complete form 31 - proof on an iOS device?
Install the pdfFiller iOS app. Log in or create an account to access the solution's editing features. Open your form 31 - proof by uploading it from your device or online storage. After filling in all relevant fields and eSigning if required, you may save or distribute the document.
What is form 31 - proof?
Form 31 - proof is a document used to provide evidence or verification of certain information or details.
Who is required to file form 31 - proof?
Individuals or entities required to provide proof of information requested by a governing body or organization.
How to fill out form 31 - proof?
Form 31 - proof is typically filled out by providing accurate and updated information in the designated fields or sections.
What is the purpose of form 31 - proof?
The purpose of form 31 - proof is to ensure the authenticity and reliability of the information being provided by individuals or entities.
What information must be reported on form 31 - proof?
Form 31 - proof may require details such as personal information, financial records, or any other requested documentation.
Fill out your form 31 - proof online with pdfFiller!
pdfFiller is an end-to-end solution for managing, creating, and editing documents and forms in the cloud. Save time and hassle by preparing your tax forms online.

Form 31 - Proof is not the form you're looking for?Search for another form here.
Relevant keywords
Related Forms
If you believe that this page should be taken down, please follow our DMCA take down process
here
.
This form may include fields for payment information. Data entered in these fields is not covered by PCI DSS compliance.