Get the free Joan Cleary Miron - New York State Department of Health
Show details
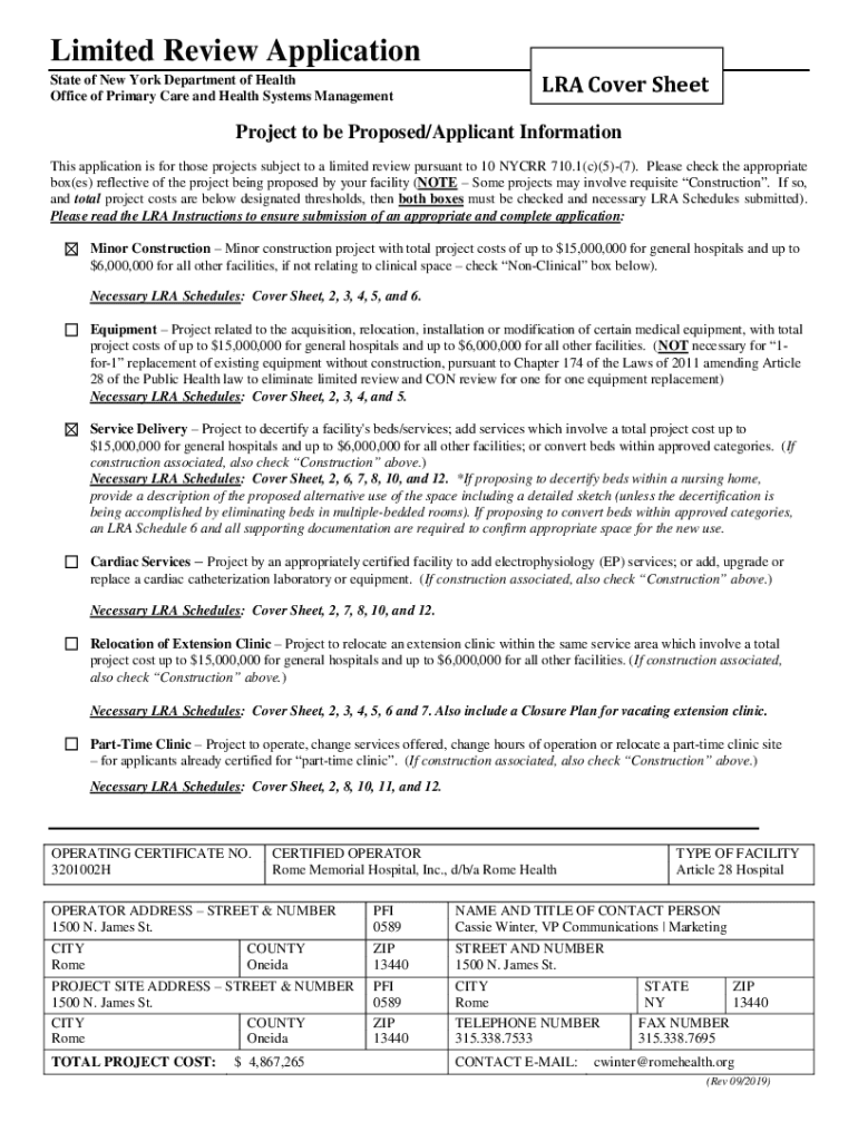
Limited Review Application State of New York Department of Health Office of Primary Care and Health Systems Management Cover SheetProject to be Proposed/Applicant Information This application is for
We are not affiliated with any brand or entity on this form
Get, Create, Make and Sign joan cleary miron
Edit your joan cleary miron form online
Type text, complete fillable fields, insert images, highlight or blackout data for discretion, add comments, and more.
Add your legally-binding signature
Draw or type your signature, upload a signature image, or capture it with your digital camera.
Share your form instantly
Email, fax, or share your joan cleary miron form via URL. You can also download, print, or export forms to your preferred cloud storage service.
Editing joan cleary miron online
To use the services of a skilled PDF editor, follow these steps:
1
Register the account. Begin by clicking Start Free Trial and create a profile if you are a new user.
2
Upload a file. Select Add New on your Dashboard and upload a file from your device or import it from the cloud, online, or internal mail. Then click Edit.
3
Edit joan cleary miron. Replace text, adding objects, rearranging pages, and more. Then select the Documents tab to combine, divide, lock or unlock the file.
4
Get your file. When you find your file in the docs list, click on its name and choose how you want to save it. To get the PDF, you can save it, send an email with it, or move it to the cloud.
pdfFiller makes dealing with documents a breeze. Create an account to find out!
Uncompromising security for your PDF editing and eSignature needs
Your private information is safe with pdfFiller. We employ end-to-end encryption, secure cloud storage, and advanced access control to protect your documents and maintain regulatory compliance.
How to fill out joan cleary miron
How to fill out joan cleary miron
01
Obtain the joan cleary miron form from the appropriate source.
02
Read the instructions provided on the form carefully.
03
Fill out all the required fields accurately and legibly.
04
Double check the information entered for any errors or omissions.
05
Sign and date the form as specified.
06
Submit the completed joan cleary miron form to the designated recipient.
Who needs joan cleary miron?
01
Individuals who are required to provide information or documentation related to Joan Cleary Miron.
Fill
form
: Try Risk Free
For pdfFiller’s FAQs
Below is a list of the most common customer questions. If you can’t find an answer to your question, please don’t hesitate to reach out to us.
How can I send joan cleary miron to be eSigned by others?
When you're ready to share your joan cleary miron, you can send it to other people and get the eSigned document back just as quickly. Share your PDF by email, fax, text message, or USPS mail. You can also notarize your PDF on the web. You don't have to leave your account to do this.
How do I edit joan cleary miron straight from my smartphone?
The pdfFiller mobile applications for iOS and Android are the easiest way to edit documents on the go. You may get them from the Apple Store and Google Play. More info about the applications here. Install and log in to edit joan cleary miron.
How do I edit joan cleary miron on an Android device?
The pdfFiller app for Android allows you to edit PDF files like joan cleary miron. Mobile document editing, signing, and sending. Install the app to ease document management anywhere.
What is joan cleary miron?
Joan Cleary Miron is a fictional character.
Who is required to file joan cleary miron?
Anyone who has been designated as the person responsible for filing Joan Cleary Miron forms.
How to fill out joan cleary miron?
Joan Cleary Miron forms can be filled out electronically or manually, following the instructions provided by the relevant authorities.
What is the purpose of joan cleary miron?
The purpose of Joan Cleary Miron forms is to gather specific information required for regulatory or compliance purposes.
What information must be reported on joan cleary miron?
Information such as personal details, financial data, and any other relevant information as required by the form.
Fill out your joan cleary miron online with pdfFiller!
pdfFiller is an end-to-end solution for managing, creating, and editing documents and forms in the cloud. Save time and hassle by preparing your tax forms online.
Joan Cleary Miron is not the form you're looking for?Search for another form here.
Relevant keywords
Related Forms
If you believe that this page should be taken down, please follow our DMCA take down process
here
.
This form may include fields for payment information. Data entered in these fields is not covered by PCI DSS compliance.