Get the free Competitive Hiring
Show details
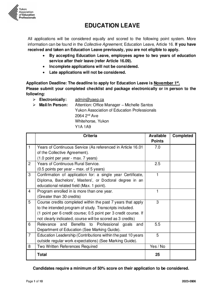
EDUCATION LEAVE All applications will be considered equally and scored to the following point system. More information can be found in the Collective Agreement, Education Leave, Article 16. If you
We are not affiliated with any brand or entity on this form
Get, Create, Make and Sign competitive hiring
Edit your competitive hiring form online
Type text, complete fillable fields, insert images, highlight or blackout data for discretion, add comments, and more.
Add your legally-binding signature
Draw or type your signature, upload a signature image, or capture it with your digital camera.
Share your form instantly
Email, fax, or share your competitive hiring form via URL. You can also download, print, or export forms to your preferred cloud storage service.
Editing competitive hiring online
Use the instructions below to start using our professional PDF editor:
1
Register the account. Begin by clicking Start Free Trial and create a profile if you are a new user.
2
Prepare a file. Use the Add New button. Then upload your file to the system from your device, importing it from internal mail, the cloud, or by adding its URL.
3
Edit competitive hiring. Replace text, adding objects, rearranging pages, and more. Then select the Documents tab to combine, divide, lock or unlock the file.
4
Save your file. Select it from your list of records. Then, move your cursor to the right toolbar and choose one of the exporting options. You can save it in multiple formats, download it as a PDF, send it by email, or store it in the cloud, among other things.
With pdfFiller, dealing with documents is always straightforward. Try it now!
Uncompromising security for your PDF editing and eSignature needs
Your private information is safe with pdfFiller. We employ end-to-end encryption, secure cloud storage, and advanced access control to protect your documents and maintain regulatory compliance.
How to fill out competitive hiring
How to fill out competitive hiring
01
Read the job announcement carefully to understand the position requirements and qualifications.
02
Update your resume to highlight relevant experience and skills.
03
Prepare a tailored cover letter that addresses the specific requirements of the job.
04
Submit your application before the deadline.
05
Wait for notification on next steps in the hiring process.
Who needs competitive hiring?
01
Employers looking to hire the most qualified candidates for a job
02
Job seekers who meet the qualifications and want to compete for a position
Fill
form
: Try Risk Free
For pdfFiller’s FAQs
Below is a list of the most common customer questions. If you can’t find an answer to your question, please don’t hesitate to reach out to us.
How can I edit competitive hiring from Google Drive?
People who need to keep track of documents and fill out forms quickly can connect PDF Filler to their Google Docs account. This means that they can make, edit, and sign documents right from their Google Drive. Make your competitive hiring into a fillable form that you can manage and sign from any internet-connected device with this add-on.
Can I create an electronic signature for the competitive hiring in Chrome?
Yes. By adding the solution to your Chrome browser, you may use pdfFiller to eSign documents while also enjoying all of the PDF editor's capabilities in one spot. Create a legally enforceable eSignature by sketching, typing, or uploading a photo of your handwritten signature using the extension. Whatever option you select, you'll be able to eSign your competitive hiring in seconds.
How do I complete competitive hiring on an iOS device?
Get and install the pdfFiller application for iOS. Next, open the app and log in or create an account to get access to all of the solution’s editing features. To open your competitive hiring, upload it from your device or cloud storage, or enter the document URL. After you complete all of the required fields within the document and eSign it (if that is needed), you can save it or share it with others.
What is competitive hiring?
Competitive hiring is a process where candidates are selected based on their qualifications, skills, and experience through a fair and competitive recruitment process.
Who is required to file competitive hiring?
Employers who are looking to fill job vacancies through a competitive hiring process are required to file competitive hiring.
How to fill out competitive hiring?
To fill out competitive hiring, employers need to follow the guidelines provided by the relevant hiring authority and ensure that all required information is accurately reported.
What is the purpose of competitive hiring?
The purpose of competitive hiring is to ensure that all candidates are given a fair chance to compete for job opportunities based on their qualifications and experience.
What information must be reported on competitive hiring?
Information such as job title, job description, required qualifications, application deadline, and selection criteria must be reported on competitive hiring.
Fill out your competitive hiring online with pdfFiller!
pdfFiller is an end-to-end solution for managing, creating, and editing documents and forms in the cloud. Save time and hassle by preparing your tax forms online.
Competitive Hiring is not the form you're looking for?Search for another form here.
Relevant keywords
Related Forms
If you believe that this page should be taken down, please follow our DMCA take down process
here
.
This form may include fields for payment information. Data entered in these fields is not covered by PCI DSS compliance.