Get the free Sample Grant Resolution 3-4-05.doc
Show details
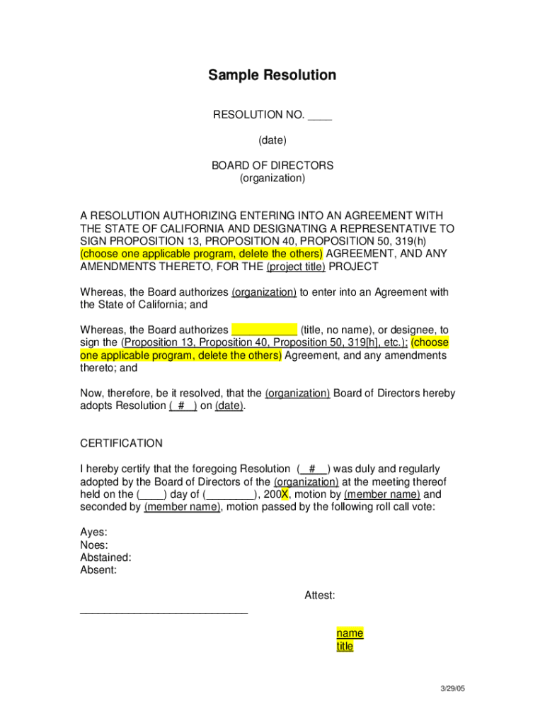
Sample Resolution NO. ___ (date) BOARD OF DIRECTORS (organization) A RESOLUTION AUTHORIZING ENTERING INTO AN AGREEMENT WITH THE STATE OF CALIFORNIA AND DESIGNATING A REPRESENTATIVE TO SIGN PROPOSITION
We are not affiliated with any brand or entity on this form
Get, Create, Make and Sign sample grant resolution 3-4-05doc
Edit your sample grant resolution 3-4-05doc form online
Type text, complete fillable fields, insert images, highlight or blackout data for discretion, add comments, and more.
Add your legally-binding signature
Draw or type your signature, upload a signature image, or capture it with your digital camera.
Share your form instantly
Email, fax, or share your sample grant resolution 3-4-05doc form via URL. You can also download, print, or export forms to your preferred cloud storage service.
How to edit sample grant resolution 3-4-05doc online
Use the instructions below to start using our professional PDF editor:
1
Log in. Click Start Free Trial and create a profile if necessary.
2
Prepare a file. Use the Add New button to start a new project. Then, using your device, upload your file to the system by importing it from internal mail, the cloud, or adding its URL.
3
Edit sample grant resolution 3-4-05doc. Add and replace text, insert new objects, rearrange pages, add watermarks and page numbers, and more. Click Done when you are finished editing and go to the Documents tab to merge, split, lock or unlock the file.
4
Get your file. Select your file from the documents list and pick your export method. You may save it as a PDF, email it, or upload it to the cloud.
pdfFiller makes dealing with documents a breeze. Create an account to find out!
Uncompromising security for your PDF editing and eSignature needs
Your private information is safe with pdfFiller. We employ end-to-end encryption, secure cloud storage, and advanced access control to protect your documents and maintain regulatory compliance.
How to fill out sample grant resolution 3-4-05doc
How to fill out sample grant resolution 3-4-05doc
01
Download the sample grant resolution 3-4-05doc document
02
Fill in the necessary information such as the name of the grantee, amount of the grant, purpose of the grant, etc.
03
Make sure all details are accurate and complete
04
Sign and date the resolution document
Who needs sample grant resolution 3-4-05doc?
01
Non-profit organizations applying for grants
02
Government agencies offering grants
03
Foundations providing funding for projects
Fill
form
: Try Risk Free
For pdfFiller’s FAQs
Below is a list of the most common customer questions. If you can’t find an answer to your question, please don’t hesitate to reach out to us.
Can I create an eSignature for the sample grant resolution 3-4-05doc in Gmail?
Upload, type, or draw a signature in Gmail with the help of pdfFiller’s add-on. pdfFiller enables you to eSign your sample grant resolution 3-4-05doc and other documents right in your inbox. Register your account in order to save signed documents and your personal signatures.
Can I edit sample grant resolution 3-4-05doc on an iOS device?
No, you can't. With the pdfFiller app for iOS, you can edit, share, and sign sample grant resolution 3-4-05doc right away. At the Apple Store, you can buy and install it in a matter of seconds. The app is free, but you will need to set up an account if you want to buy a subscription or start a free trial.
How do I complete sample grant resolution 3-4-05doc on an iOS device?
Get and install the pdfFiller application for iOS. Next, open the app and log in or create an account to get access to all of the solution’s editing features. To open your sample grant resolution 3-4-05doc, upload it from your device or cloud storage, or enter the document URL. After you complete all of the required fields within the document and eSign it (if that is needed), you can save it or share it with others.
What is sample grant resolution 3-4-05doc?
Sample grant resolution 3-4-05doc is a document that outlines the decision made by a grant-making organization to provide funding or resources to a recipient.
Who is required to file sample grant resolution 3-4-05doc?
The grant-making organization or entity that is providing the grant is required to file the sample grant resolution 3-4-05doc.
How to fill out sample grant resolution 3-4-05doc?
To fill out the sample grant resolution 3-4-05doc, the grant-making organization needs to provide details about the grant, including the amount of funding, the purpose of the grant, and any conditions or requirements for the recipient.
What is the purpose of sample grant resolution 3-4-05doc?
The purpose of sample grant resolution 3-4-05doc is to formalize the decision to provide a grant, outlining the terms and conditions of the funding and ensuring transparency in the grant-making process.
What information must be reported on sample grant resolution 3-4-05doc?
The sample grant resolution 3-4-05doc must include details such as the name of the grant recipient, the amount of funding awarded, the purpose of the grant, any reporting requirements for the recipient, and any conditions or restrictions on the grant.
Fill out your sample grant resolution 3-4-05doc online with pdfFiller!
pdfFiller is an end-to-end solution for managing, creating, and editing documents and forms in the cloud. Save time and hassle by preparing your tax forms online.
Sample Grant Resolution 3-4-05doc is not the form you're looking for?Search for another form here.
Relevant keywords
Related Forms
If you believe that this page should be taken down, please follow our DMCA take down process
here
.
This form may include fields for payment information. Data entered in these fields is not covered by PCI DSS compliance.