Get the free SMME4 Self - Evaluation: Exam Preparatory: 2 ...
Show details
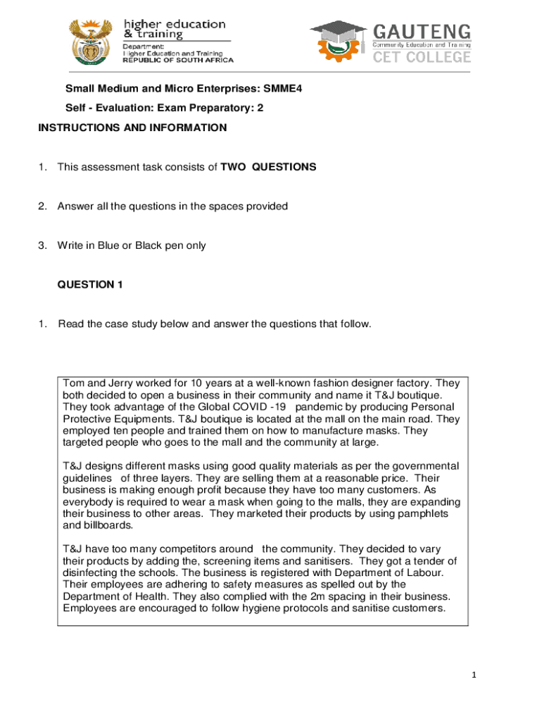
Small Medium and Micro Enterprises: SMME4 Self Evaluation: Exam Preparatory: 2 INSTRUCTIONS AND INFORMATION1. This assessment task consists of TWO QUESTIONS2. Answer all the questions in the spaces
We are not affiliated with any brand or entity on this form
Get, Create, Make and Sign smme4 self - evaluation
Edit your smme4 self - evaluation form online
Type text, complete fillable fields, insert images, highlight or blackout data for discretion, add comments, and more.
Add your legally-binding signature
Draw or type your signature, upload a signature image, or capture it with your digital camera.
Share your form instantly
Email, fax, or share your smme4 self - evaluation form via URL. You can also download, print, or export forms to your preferred cloud storage service.
Editing smme4 self - evaluation online
Follow the steps below to take advantage of the professional PDF editor:
1
Create an account. Begin by choosing Start Free Trial and, if you are a new user, establish a profile.
2
Prepare a file. Use the Add New button to start a new project. Then, using your device, upload your file to the system by importing it from internal mail, the cloud, or adding its URL.
3
Edit smme4 self - evaluation. Rearrange and rotate pages, add new and changed texts, add new objects, and use other useful tools. When you're done, click Done. You can use the Documents tab to merge, split, lock, or unlock your files.
4
Get your file. Select the name of your file in the docs list and choose your preferred exporting method. You can download it as a PDF, save it in another format, send it by email, or transfer it to the cloud.
pdfFiller makes working with documents easier than you could ever imagine. Create an account to find out for yourself how it works!
Uncompromising security for your PDF editing and eSignature needs
Your private information is safe with pdfFiller. We employ end-to-end encryption, secure cloud storage, and advanced access control to protect your documents and maintain regulatory compliance.
How to fill out smme4 self - evaluation
How to fill out smme4 self - evaluation
01
Read the instructions given for each section before filling out the self-evaluation.
02
Provide honest and accurate information about your organization or business.
03
Answer all the questions thoroughly and to the best of your knowledge.
04
Ensure that you have all the necessary documents and information available before starting the self-evaluation.
05
Review your answers before submitting the self-evaluation to check for any errors or missing information.
Who needs smme4 self - evaluation?
01
Entrepreneurs looking to assess the performance and strengths of their small, medium, or micro enterprise.
02
Business owners seeking to identify areas for improvement and growth within their organization.
03
Investors and stakeholders interested in evaluating the overall effectiveness and sustainability of an SME.
Fill
form
: Try Risk Free
For pdfFiller’s FAQs
Below is a list of the most common customer questions. If you can’t find an answer to your question, please don’t hesitate to reach out to us.
How can I get smme4 self - evaluation?
The pdfFiller premium subscription gives you access to a large library of fillable forms (over 25 million fillable templates) that you can download, fill out, print, and sign. In the library, you'll have no problem discovering state-specific smme4 self - evaluation and other forms. Find the template you want and tweak it with powerful editing tools.
Can I create an eSignature for the smme4 self - evaluation in Gmail?
Create your eSignature using pdfFiller and then eSign your smme4 self - evaluation immediately from your email with pdfFiller's Gmail add-on. To keep your signatures and signed papers, you must create an account.
How do I fill out smme4 self - evaluation using my mobile device?
You can easily create and fill out legal forms with the help of the pdfFiller mobile app. Complete and sign smme4 self - evaluation and other documents on your mobile device using the application. Visit pdfFiller’s webpage to learn more about the functionalities of the PDF editor.
What is smme4 self - evaluation?
SMME4 self-evaluation is a self-assessment tool used to assess the compliance of a business with the Broad-Based Black Economic Empowerment (B-BBEE) requirements.
Who is required to file smme4 self - evaluation?
All small, medium, and micro enterprises (SMMEs) in South Africa are required to file SMME4 self-evaluation.
How to fill out smme4 self - evaluation?
SMME4 self-evaluation can be filled out online through the B-BBEE Commission's website or manually using the prescribed forms.
What is the purpose of smme4 self - evaluation?
The purpose of SMME4 self-evaluation is to measure the level of compliance of SMMEs with B-BBEE requirements and to promote economic transformation.
What information must be reported on smme4 self - evaluation?
SMMEs must report on their ownership, management control, skills development, enterprise and supplier development, and socio-economic development initiatives.
Fill out your smme4 self - evaluation online with pdfFiller!
pdfFiller is an end-to-end solution for managing, creating, and editing documents and forms in the cloud. Save time and hassle by preparing your tax forms online.
smme4 Self - Evaluation is not the form you're looking for?Search for another form here.
Relevant keywords
Related Forms
If you believe that this page should be taken down, please follow our DMCA take down process
here
.
This form may include fields for payment information. Data entered in these fields is not covered by PCI DSS compliance.