
Get the free Greeley Central High School / Homepage
Show details
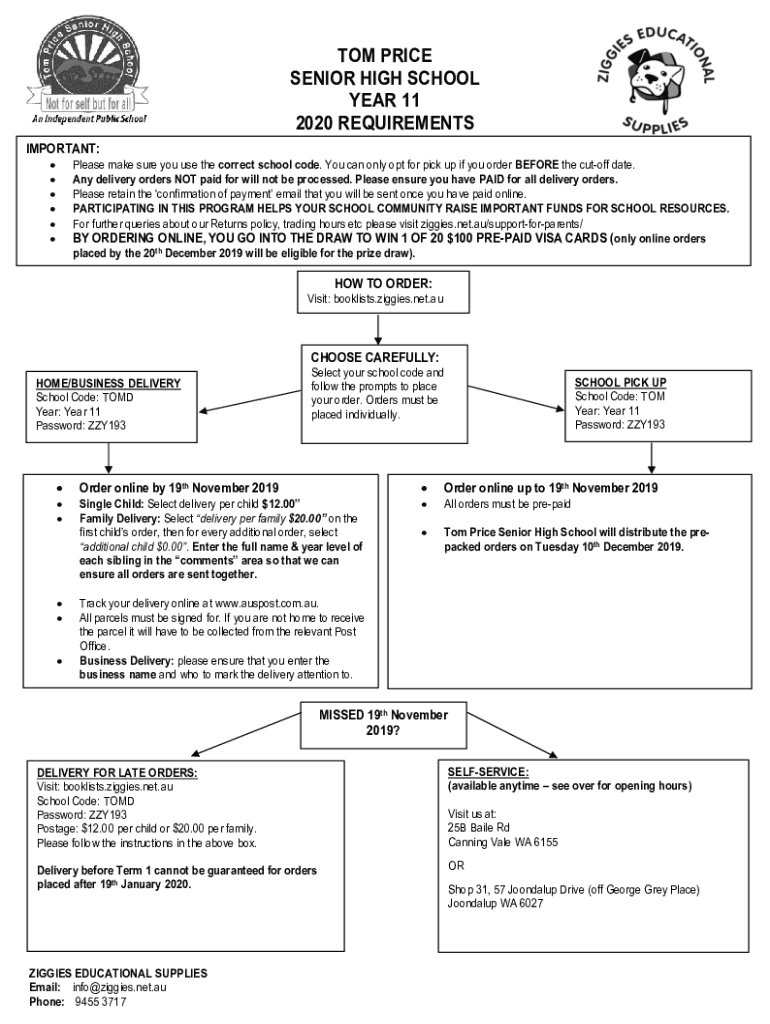
TOM PRICE SENIOR HIGH SCHOOL YEAR 11 2020 REQUIREMENTS IMPORTANT: Please make sure you use the correct school code. You can only opt for pickup if you order BEFORE the cutoff date. Any delivery orders
We are not affiliated with any brand or entity on this form
Get, Create, Make and Sign greeley central high school

Edit your greeley central high school form online
Type text, complete fillable fields, insert images, highlight or blackout data for discretion, add comments, and more.

Add your legally-binding signature
Draw or type your signature, upload a signature image, or capture it with your digital camera.

Share your form instantly
Email, fax, or share your greeley central high school form via URL. You can also download, print, or export forms to your preferred cloud storage service.
Editing greeley central high school online
Use the instructions below to start using our professional PDF editor:
1
Register the account. Begin by clicking Start Free Trial and create a profile if you are a new user.
2
Prepare a file. Use the Add New button. Then upload your file to the system from your device, importing it from internal mail, the cloud, or by adding its URL.
3
Edit greeley central high school. Text may be added and replaced, new objects can be included, pages can be rearranged, watermarks and page numbers can be added, and so on. When you're done editing, click Done and then go to the Documents tab to combine, divide, lock, or unlock the file.
4
Save your file. Select it in the list of your records. Then, move the cursor to the right toolbar and choose one of the available exporting methods: save it in multiple formats, download it as a PDF, send it by email, or store it in the cloud.
With pdfFiller, it's always easy to work with documents.
Uncompromising security for your PDF editing and eSignature needs
Your private information is safe with pdfFiller. We employ end-to-end encryption, secure cloud storage, and advanced access control to protect your documents and maintain regulatory compliance.
How to fill out greeley central high school

How to fill out greeley central high school
01
Obtain necessary enrollment forms from the school office or website.
02
Fill out all required personal information such as name, address, date of birth, and contact information.
03
Provide necessary documentation such as proof of residency, birth certificate, and immunization records.
04
Submit completed forms and documentation to the school office for processing.
Who needs greeley central high school?
01
Students living in the Greeley area who are of high school age and looking to further their education.
02
Families seeking a public high school with a variety of academic and extracurricular opportunities for their children.
Fill
form
: Try Risk Free
For pdfFiller’s FAQs
Below is a list of the most common customer questions. If you can’t find an answer to your question, please don’t hesitate to reach out to us.
How can I send greeley central high school for eSignature?
Once your greeley central high school is ready, you can securely share it with recipients and collect eSignatures in a few clicks with pdfFiller. You can send a PDF by email, text message, fax, USPS mail, or notarize it online - right from your account. Create an account now and try it yourself.
How do I make changes in greeley central high school?
pdfFiller not only lets you change the content of your files, but you can also change the number and order of pages. Upload your greeley central high school to the editor and make any changes in a few clicks. The editor lets you black out, type, and erase text in PDFs. You can also add images, sticky notes, and text boxes, as well as many other things.
How do I fill out the greeley central high school form on my smartphone?
Use the pdfFiller mobile app to fill out and sign greeley central high school on your phone or tablet. Visit our website to learn more about our mobile apps, how they work, and how to get started.
What is greeley central high school?
Greeley Central High School is a public high school located in Greeley, Colorado.
Who is required to file greeley central high school?
Students attending Greeley Central High School are required to file information related to their academics and personal details.
How to fill out greeley central high school?
To fill out information for Greeley Central High School, students can typically use online forms provided by the school or submit physical forms to the school administration.
What is the purpose of greeley central high school?
The purpose of Greeley Central High School is to provide students with education, opportunities for personal growth, and preparation for future endeavors.
What information must be reported on greeley central high school?
Information such as grades, attendance records, extracurricular activities, and contact information may need to be reported for Greeley Central High School.
Fill out your greeley central high school online with pdfFiller!
pdfFiller is an end-to-end solution for managing, creating, and editing documents and forms in the cloud. Save time and hassle by preparing your tax forms online.

Greeley Central High School is not the form you're looking for?Search for another form here.
Relevant keywords
If you believe that this page should be taken down, please follow our DMCA take down process
here
.
This form may include fields for payment information. Data entered in these fields is not covered by PCI DSS compliance.