
Get the free Head Coach Checklist - Puyallup SD Athletics
Show details
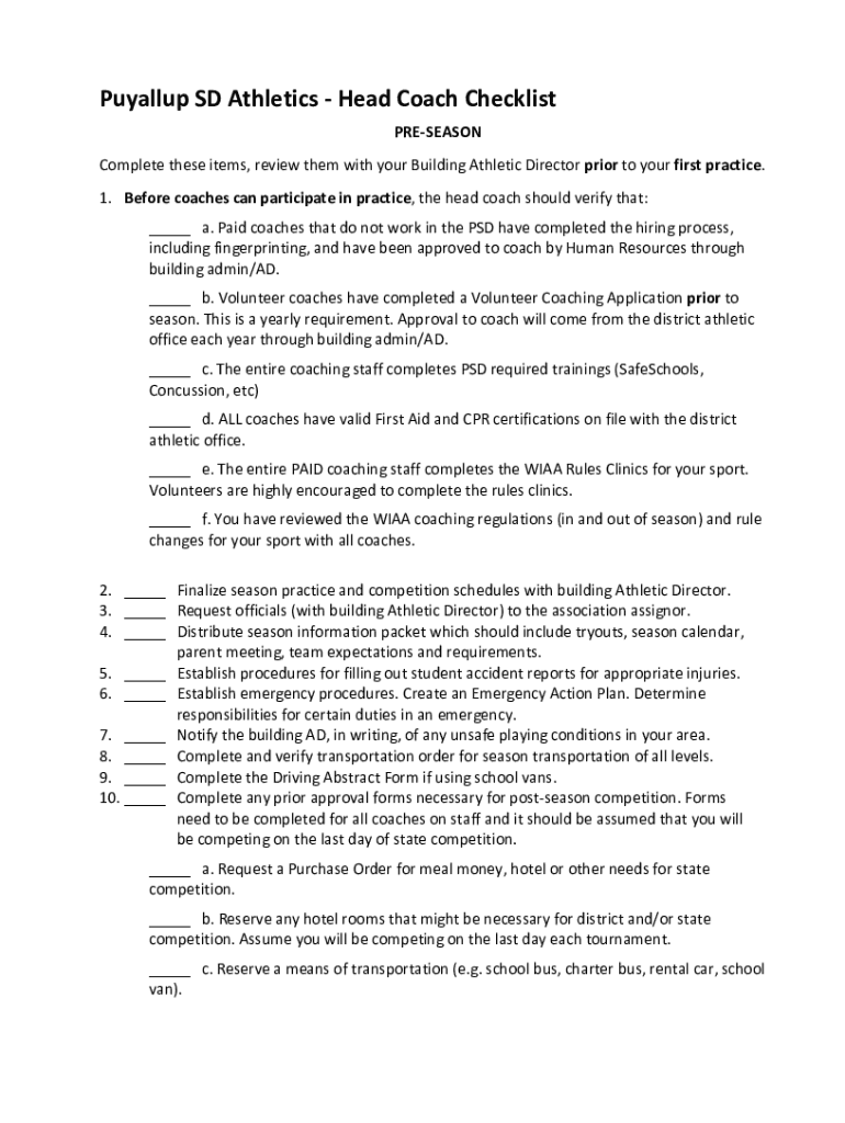
Puyallup SD Athletics Head Coach Checklist PRESEASON Complete these items, review them with your Building Athletic Director prior to your first practice. 1. Before coaches can participate in practice,
We are not affiliated with any brand or entity on this form
Get, Create, Make and Sign head coach checklist

Edit your head coach checklist form online
Type text, complete fillable fields, insert images, highlight or blackout data for discretion, add comments, and more.

Add your legally-binding signature
Draw or type your signature, upload a signature image, or capture it with your digital camera.

Share your form instantly
Email, fax, or share your head coach checklist form via URL. You can also download, print, or export forms to your preferred cloud storage service.
How to edit head coach checklist online
In order to make advantage of the professional PDF editor, follow these steps:
1
Register the account. Begin by clicking Start Free Trial and create a profile if you are a new user.
2
Upload a file. Select Add New on your Dashboard and upload a file from your device or import it from the cloud, online, or internal mail. Then click Edit.
3
Edit head coach checklist. Rearrange and rotate pages, add new and changed texts, add new objects, and use other useful tools. When you're done, click Done. You can use the Documents tab to merge, split, lock, or unlock your files.
4
Get your file. When you find your file in the docs list, click on its name and choose how you want to save it. To get the PDF, you can save it, send an email with it, or move it to the cloud.
With pdfFiller, it's always easy to deal with documents.
Uncompromising security for your PDF editing and eSignature needs
Your private information is safe with pdfFiller. We employ end-to-end encryption, secure cloud storage, and advanced access control to protect your documents and maintain regulatory compliance.
How to fill out head coach checklist

How to fill out head coach checklist
01
Make sure to have a copy of the head coach checklist on hand
02
Review the checklist for each item that needs to be completed
03
Begin filling out the checklist with the necessary information such as team name, game schedule, and roster
04
Verify all required forms and paperwork are attached to the checklist
05
Double check and review the checklist for accuracy before submitting it to the appropriate party
Who needs head coach checklist?
01
Head coaches of sports teams
02
Team managers
03
Sports organization administrators
Fill
form
: Try Risk Free
For pdfFiller’s FAQs
Below is a list of the most common customer questions. If you can’t find an answer to your question, please don’t hesitate to reach out to us.
How do I execute head coach checklist online?
Completing and signing head coach checklist online is easy with pdfFiller. It enables you to edit original PDF content, highlight, blackout, erase and type text anywhere on a page, legally eSign your form, and much more. Create your free account and manage professional documents on the web.
How do I complete head coach checklist on an iOS device?
In order to fill out documents on your iOS device, install the pdfFiller app. Create an account or log in to an existing one if you have a subscription to the service. Once the registration process is complete, upload your head coach checklist. You now can take advantage of pdfFiller's advanced functionalities: adding fillable fields and eSigning documents, and accessing them from any device, wherever you are.
How do I fill out head coach checklist on an Android device?
Use the pdfFiller mobile app to complete your head coach checklist on an Android device. The application makes it possible to perform all needed document management manipulations, like adding, editing, and removing text, signing, annotating, and more. All you need is your smartphone and an internet connection.
What is head coach checklist?
The head coach checklist is a document used to track the responsibilities and tasks of a head coach.
Who is required to file head coach checklist?
Head coaches are required to file the head coach checklist.
How to fill out head coach checklist?
The head coach checklist should be filled out by entering the required information in each section.
What is the purpose of head coach checklist?
The purpose of the head coach checklist is to ensure that head coaches are fulfilling their duties and responsibilities.
What information must be reported on head coach checklist?
The head coach checklist must include details on team schedules, player development plans, and communication with athletes and staff.
Fill out your head coach checklist online with pdfFiller!
pdfFiller is an end-to-end solution for managing, creating, and editing documents and forms in the cloud. Save time and hassle by preparing your tax forms online.

Head Coach Checklist is not the form you're looking for?Search for another form here.
Relevant keywords
Related Forms
If you believe that this page should be taken down, please follow our DMCA take down process
here
.
This form may include fields for payment information. Data entered in these fields is not covered by PCI DSS compliance.