
Get the free Parents and Students - Georges P. Vanier School gpvhpsd.ca
Show details
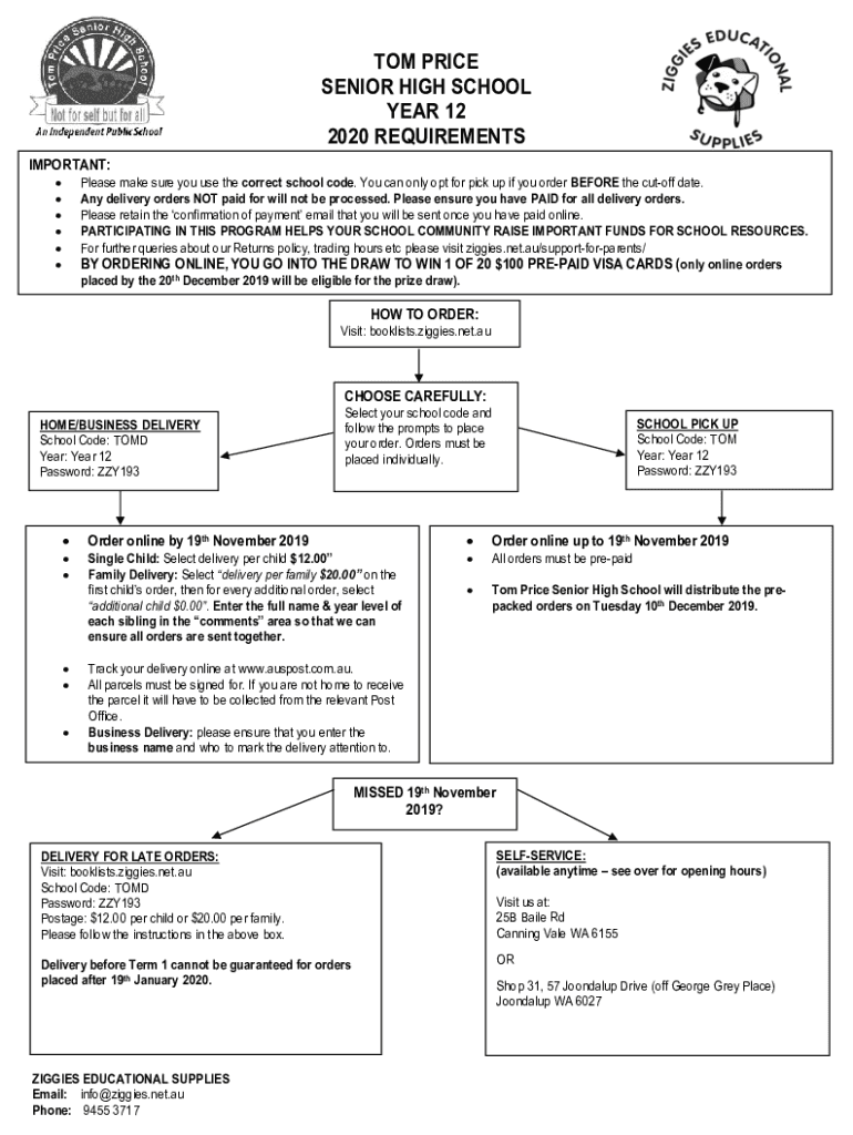
TOM PRICE SENIOR HIGH SCHOOL YEAR 12 2020 REQUIREMENTS IMPORTANT: Please make sure you use the correct school code. You can only opt for pickup if you order BEFORE the cutoff date. Any delivery orders
We are not affiliated with any brand or entity on this form
Get, Create, Make and Sign parents and students

Edit your parents and students form online
Type text, complete fillable fields, insert images, highlight or blackout data for discretion, add comments, and more.

Add your legally-binding signature
Draw or type your signature, upload a signature image, or capture it with your digital camera.

Share your form instantly
Email, fax, or share your parents and students form via URL. You can also download, print, or export forms to your preferred cloud storage service.
Editing parents and students online
Use the instructions below to start using our professional PDF editor:
1
Create an account. Begin by choosing Start Free Trial and, if you are a new user, establish a profile.
2
Prepare a file. Use the Add New button. Then upload your file to the system from your device, importing it from internal mail, the cloud, or by adding its URL.
3
Edit parents and students. Add and replace text, insert new objects, rearrange pages, add watermarks and page numbers, and more. Click Done when you are finished editing and go to the Documents tab to merge, split, lock or unlock the file.
4
Save your file. Select it from your list of records. Then, move your cursor to the right toolbar and choose one of the exporting options. You can save it in multiple formats, download it as a PDF, send it by email, or store it in the cloud, among other things.
It's easier to work with documents with pdfFiller than you could have believed. You can sign up for an account to see for yourself.
Uncompromising security for your PDF editing and eSignature needs
Your private information is safe with pdfFiller. We employ end-to-end encryption, secure cloud storage, and advanced access control to protect your documents and maintain regulatory compliance.
How to fill out parents and students

How to fill out parents and students
01
Collect all necessary information such as names, addresses, contact information, and emergency contact details for both parents and students.
02
Ensure that all forms are filled out completely and accurately, paying attention to any specific instructions or requirements provided by the school or organization.
03
Make sure to sign and date the forms where required, and double-check for any errors before submitting them.
04
Keep copies of all completed forms for your own records.
Who needs parents and students?
01
Schools, educational institutions, after-school programs, summer camps, and any other organization that works with children and their families may need information on parents and students for administrative and safety purposes.
Fill
form
: Try Risk Free
For pdfFiller’s FAQs
Below is a list of the most common customer questions. If you can’t find an answer to your question, please don’t hesitate to reach out to us.
How do I modify my parents and students in Gmail?
The pdfFiller Gmail add-on lets you create, modify, fill out, and sign parents and students and other documents directly in your email. Click here to get pdfFiller for Gmail. Eliminate tedious procedures and handle papers and eSignatures easily.
How do I make edits in parents and students without leaving Chrome?
Install the pdfFiller Chrome Extension to modify, fill out, and eSign your parents and students, which you can access right from a Google search page. Fillable documents without leaving Chrome on any internet-connected device.
How can I fill out parents and students on an iOS device?
Get and install the pdfFiller application for iOS. Next, open the app and log in or create an account to get access to all of the solution’s editing features. To open your parents and students, upload it from your device or cloud storage, or enter the document URL. After you complete all of the required fields within the document and eSign it (if that is needed), you can save it or share it with others.
What is parents and students?
Parents and students refer to the individuals who are responsible for completing and submitting important paperwork related to education, such as financial aid forms or enrollment documents.
Who is required to file parents and students?
Parents and students are required to file the necessary paperwork in order to ensure that educational institutions have the information they need.
How to fill out parents and students?
Parents and students can fill out the required forms by providing accurate and honest information about their financial situation and educational background.
What is the purpose of parents and students?
The purpose of parents and students filing paperwork is to help educational institutions determine eligibility for financial aid, enrollment, and other important aspects.
What information must be reported on parents and students?
Parents and students must report information such as income, assets, household size, and number of dependents when filing paperwork.
Fill out your parents and students online with pdfFiller!
pdfFiller is an end-to-end solution for managing, creating, and editing documents and forms in the cloud. Save time and hassle by preparing your tax forms online.

Parents And Students is not the form you're looking for?Search for another form here.
Relevant keywords
Related Forms
If you believe that this page should be taken down, please follow our DMCA take down process
here
.
This form may include fields for payment information. Data entered in these fields is not covered by PCI DSS compliance.