Get the free CAUTION - SAP Response.. - Leeds City Council - sapresponses leeds gov
Show details
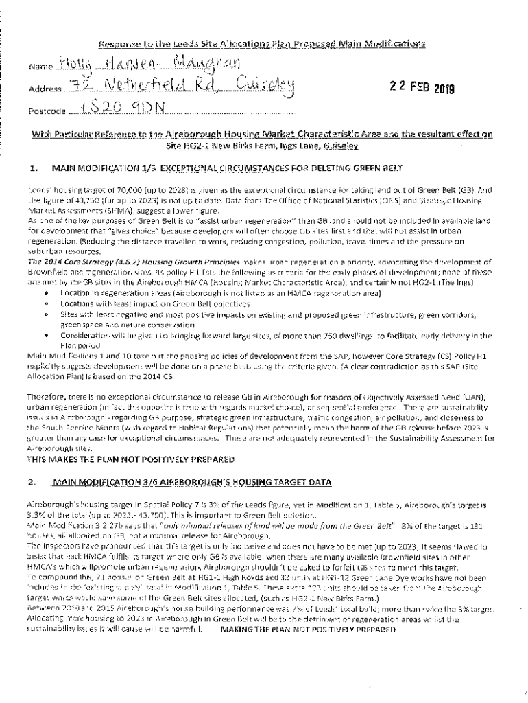
Response toNamet1jlq.
J.!tr\” NJ.e.the Leeds Site Allocations Plan Proposed Main Modifications. Fut. A, t!. Address^11;n
an Airfield. K\”
wiezrgpostcode....., L, S.2Q.....g.D.TTL.battle, With
We are not affiliated with any brand or entity on this form
Get, Create, Make and Sign caution - sap response
Edit your caution - sap response form online
Type text, complete fillable fields, insert images, highlight or blackout data for discretion, add comments, and more.
Add your legally-binding signature
Draw or type your signature, upload a signature image, or capture it with your digital camera.
Share your form instantly
Email, fax, or share your caution - sap response form via URL. You can also download, print, or export forms to your preferred cloud storage service.
Editing caution - sap response online
Here are the steps you need to follow to get started with our professional PDF editor:
1
Create an account. Begin by choosing Start Free Trial and, if you are a new user, establish a profile.
2
Prepare a file. Use the Add New button. Then upload your file to the system from your device, importing it from internal mail, the cloud, or by adding its URL.
3
Edit caution - sap response. Add and replace text, insert new objects, rearrange pages, add watermarks and page numbers, and more. Click Done when you are finished editing and go to the Documents tab to merge, split, lock or unlock the file.
4
Get your file. Select your file from the documents list and pick your export method. You may save it as a PDF, email it, or upload it to the cloud.
With pdfFiller, it's always easy to deal with documents.
Uncompromising security for your PDF editing and eSignature needs
Your private information is safe with pdfFiller. We employ end-to-end encryption, secure cloud storage, and advanced access control to protect your documents and maintain regulatory compliance.
How to fill out caution - sap response
How to fill out caution - sap response
01
To fill out caution - sap response, follow these steps:
Who needs caution - sap response?
01
Caution - sap response is needed by individuals who are handling sensitive information or are responsible for maintaining confidentiality and security in their work environment.
Fill
form
: Try Risk Free
For pdfFiller’s FAQs
Below is a list of the most common customer questions. If you can’t find an answer to your question, please don’t hesitate to reach out to us.
Where do I find caution - sap response?
It's simple using pdfFiller, an online document management tool. Use our huge online form collection (over 25M fillable forms) to quickly discover the caution - sap response. Open it immediately and start altering it with sophisticated capabilities.
Can I create an electronic signature for signing my caution - sap response in Gmail?
You may quickly make your eSignature using pdfFiller and then eSign your caution - sap response right from your mailbox using pdfFiller's Gmail add-on. Please keep in mind that in order to preserve your signatures and signed papers, you must first create an account.
How do I fill out caution - sap response using my mobile device?
Use the pdfFiller mobile app to complete and sign caution - sap response on your mobile device. Visit our web page (https://edit-pdf-ios-android.pdffiller.com/) to learn more about our mobile applications, the capabilities you’ll have access to, and the steps to take to get up and running.
What is caution - sap response?
Caution - SAP response refers to a specific alert or notification in the SAP system that indicates a potential issue or concern that requires careful attention.
Who is required to file caution - sap response?
Individuals or teams within an organization that are responsible for monitoring and managing SAP systems may be required to file caution - SAP responses when they identify issues.
How to fill out caution - sap response?
To fill out a caution - SAP response, users should provide detailed information about the issue, including the nature of the concern, relevant data, potential impacts, and any recommended actions.
What is the purpose of caution - sap response?
The purpose of caution - SAP response is to alert stakeholders of potential problems within the SAP system, allowing for timely intervention and mitigation strategies.
What information must be reported on caution - sap response?
The information that must be reported includes the issue description, the date and time of occurrence, affected components, potential implications, and any immediate actions taken.
Fill out your caution - sap response online with pdfFiller!
pdfFiller is an end-to-end solution for managing, creating, and editing documents and forms in the cloud. Save time and hassle by preparing your tax forms online.
Caution - Sap Response is not the form you're looking for?Search for another form here.
Relevant keywords
Related Forms
If you believe that this page should be taken down, please follow our DMCA take down process
here
.
This form may include fields for payment information. Data entered in these fields is not covered by PCI DSS compliance.