
Get the free Rest Between Your Sets - The Importance of Taking Breaks
Show details
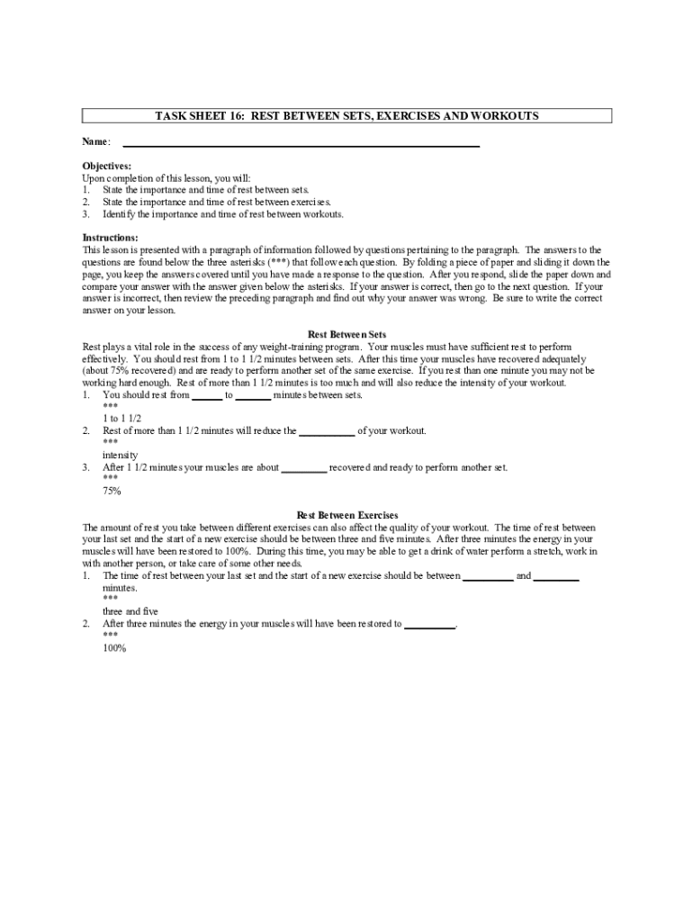
TASK SHEET 16: REST BETWEEN SETS, EXERCISES AND WORKOUTS Name:___Objectives: Upon completion of this lesson, you will: 1. State the importance and time of rest between sets. 2. State the importance
We are not affiliated with any brand or entity on this form
Get, Create, Make and Sign rest between your sets

Edit your rest between your sets form online
Type text, complete fillable fields, insert images, highlight or blackout data for discretion, add comments, and more.

Add your legally-binding signature
Draw or type your signature, upload a signature image, or capture it with your digital camera.

Share your form instantly
Email, fax, or share your rest between your sets form via URL. You can also download, print, or export forms to your preferred cloud storage service.
Editing rest between your sets online
Here are the steps you need to follow to get started with our professional PDF editor:
1
Create an account. Begin by choosing Start Free Trial and, if you are a new user, establish a profile.
2
Prepare a file. Use the Add New button. Then upload your file to the system from your device, importing it from internal mail, the cloud, or by adding its URL.
3
Edit rest between your sets. Add and replace text, insert new objects, rearrange pages, add watermarks and page numbers, and more. Click Done when you are finished editing and go to the Documents tab to merge, split, lock or unlock the file.
4
Get your file. Select your file from the documents list and pick your export method. You may save it as a PDF, email it, or upload it to the cloud.
With pdfFiller, dealing with documents is always straightforward.
Uncompromising security for your PDF editing and eSignature needs
Your private information is safe with pdfFiller. We employ end-to-end encryption, secure cloud storage, and advanced access control to protect your documents and maintain regulatory compliance.
How to fill out rest between your sets

How to fill out rest between your sets
01
Start by selecting the appropriate weight for your exercise. It should be challenging but not too heavy that you can't perform the exercise with proper form.
02
Complete your first set of exercises, focusing on maintaining the correct technique and range of motion.
03
After completing a set, take a rest period of approximately 1-2 minutes. Use this time to catch your breath and allow your muscles to recover.
04
During the rest period, it can be helpful to stretch or foam roll the muscles you just worked.
05
Once the rest period is over, begin the next set of exercises. Repeat this process for the desired number of sets for each exercise.
Who needs rest between your sets?
01
Anyone who is engaging in strength training exercises can benefit from taking rest between sets.
02
Resting between sets allows your muscles to recover and replenish their energy stores, which can lead to improved performance and reduced risk of injury.
03
It is especially important for those who are lifting heavy weights or performing intense exercises to take sufficient rest periods to prevent overexertion and fatigue.
04
Resting between sets also gives you time to mentally prepare for the next set, allowing you to maintain focus and concentration throughout your workout.
Fill
form
: Try Risk Free
For pdfFiller’s FAQs
Below is a list of the most common customer questions. If you can’t find an answer to your question, please don’t hesitate to reach out to us.
How can I modify rest between your sets without leaving Google Drive?
You can quickly improve your document management and form preparation by integrating pdfFiller with Google Docs so that you can create, edit and sign documents directly from your Google Drive. The add-on enables you to transform your rest between your sets into a dynamic fillable form that you can manage and eSign from any internet-connected device.
How do I fill out rest between your sets using my mobile device?
You can easily create and fill out legal forms with the help of the pdfFiller mobile app. Complete and sign rest between your sets and other documents on your mobile device using the application. Visit pdfFiller’s webpage to learn more about the functionalities of the PDF editor.
How do I fill out rest between your sets on an Android device?
Use the pdfFiller Android app to finish your rest between your sets and other documents on your Android phone. The app has all the features you need to manage your documents, like editing content, eSigning, annotating, sharing files, and more. At any time, as long as there is an internet connection.
What is rest between your sets?
Rest between your sets refers to the duration of time you take to recover before starting the next set of exercises in your workout routine.
Who is required to file rest between your sets?
Generally, anyone engaging in a structured workout regimen, including athletes, fitness enthusiasts, and those participating in weight training, should be mindful of their rest periods between sets.
How to fill out rest between your sets?
To fill out rest between your sets, you can simply track the duration you rest after completing a set, noting this time in your workout log or application for future reference.
What is the purpose of rest between your sets?
The purpose of rest between your sets is to allow your muscles to recover, replenish energy stores, and prepare for the next exertion, which can enhance overall performance and prevent injury.
What information must be reported on rest between your sets?
Typically, you should report the duration of the rest period, the number of sets completed, and the exercises performed, which can help in assessing workout intensity and effectiveness.
Fill out your rest between your sets online with pdfFiller!
pdfFiller is an end-to-end solution for managing, creating, and editing documents and forms in the cloud. Save time and hassle by preparing your tax forms online.

Rest Between Your Sets is not the form you're looking for?Search for another form here.
Relevant keywords
Related Forms
If you believe that this page should be taken down, please follow our DMCA take down process
here
.
This form may include fields for payment information. Data entered in these fields is not covered by PCI DSS compliance.