
Get the free Professional Service Agreement (PSA) Guidelines
Show details
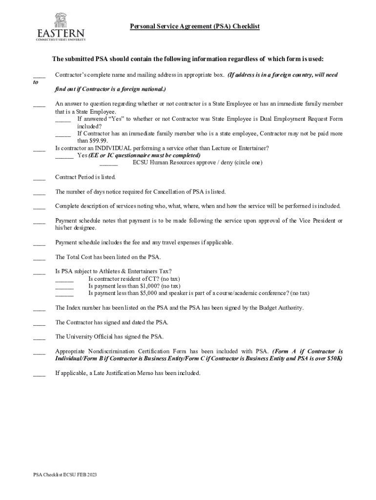
Personal Service Agreement (PSA) Checklist submitted PSA should contain the following information regardless of which form is used: ___ contractors complete name and mailing address in appropriate
We are not affiliated with any brand or entity on this form
Get, Create, Make and Sign professional service agreement psa

Edit your professional service agreement psa form online
Type text, complete fillable fields, insert images, highlight or blackout data for discretion, add comments, and more.

Add your legally-binding signature
Draw or type your signature, upload a signature image, or capture it with your digital camera.

Share your form instantly
Email, fax, or share your professional service agreement psa form via URL. You can also download, print, or export forms to your preferred cloud storage service.
How to edit professional service agreement psa online
To use our professional PDF editor, follow these steps:
1
Set up an account. If you are a new user, click Start Free Trial and establish a profile.
2
Prepare a file. Use the Add New button to start a new project. Then, using your device, upload your file to the system by importing it from internal mail, the cloud, or adding its URL.
3
Edit professional service agreement psa. Rearrange and rotate pages, add and edit text, and use additional tools. To save changes and return to your Dashboard, click Done. The Documents tab allows you to merge, divide, lock, or unlock files.
4
Get your file. When you find your file in the docs list, click on its name and choose how you want to save it. To get the PDF, you can save it, send an email with it, or move it to the cloud.
pdfFiller makes working with documents easier than you could ever imagine. Register for an account and see for yourself!
Uncompromising security for your PDF editing and eSignature needs
Your private information is safe with pdfFiller. We employ end-to-end encryption, secure cloud storage, and advanced access control to protect your documents and maintain regulatory compliance.
How to fill out professional service agreement psa

How to fill out professional service agreement psa
01
Step 1: Start by downloading a professional service agreement template.
02
Step 2: Fill in the details of the parties involved in the agreement, such as the client and the service provider.
03
Step 3: Clearly outline the scope of services that will be provided by the service provider.
04
Step 4: Include the payment terms, including the amount to be paid and the payment schedule.
05
Step 5: Specify the duration of the agreement and any termination clauses.
06
Step 6: Address any intellectual property or confidentiality issues that may arise during the provision of services.
07
Step 7: Review the entire agreement to ensure all important terms and conditions are included.
08
Step 8: Have both parties sign the agreement and keep a copy for your records.
Who needs professional service agreement psa?
01
Freelancers who offer professional services to clients.
02
Small businesses that engage with contractors or consultants.
03
Large corporations that outsource specialized services.
04
Businesses that want to protect their intellectual property and confidential information.
05
Service providers and businesses that want to establish clear expectations and responsibilities.
Fill
form
: Try Risk Free
For pdfFiller’s FAQs
Below is a list of the most common customer questions. If you can’t find an answer to your question, please don’t hesitate to reach out to us.
How can I modify professional service agreement psa without leaving Google Drive?
By combining pdfFiller with Google Docs, you can generate fillable forms directly in Google Drive. No need to leave Google Drive to make edits or sign documents, including professional service agreement psa. Use pdfFiller's features in Google Drive to handle documents on any internet-connected device.
How do I edit professional service agreement psa on an iOS device?
No, you can't. With the pdfFiller app for iOS, you can edit, share, and sign professional service agreement psa right away. At the Apple Store, you can buy and install it in a matter of seconds. The app is free, but you will need to set up an account if you want to buy a subscription or start a free trial.
How do I complete professional service agreement psa on an Android device?
Use the pdfFiller app for Android to finish your professional service agreement psa. The application lets you do all the things you need to do with documents, like add, edit, and remove text, sign, annotate, and more. There is nothing else you need except your smartphone and an internet connection to do this.
What is professional service agreement psa?
A professional service agreement (PSA) is a contract between a service provider and a client that outlines the terms and conditions of the services to be provided.
Who is required to file professional service agreement psa?
Service providers who engage in professional services with clients are required to file professional service agreements.
How to fill out professional service agreement psa?
Professional service agreements can be filled out by detailing the services to be provided, the terms of payment, and any other relevant terms agreed upon by both parties.
What is the purpose of professional service agreement psa?
The purpose of a professional service agreement is to establish a clear understanding between the service provider and the client regarding the services to be provided and the terms of the agreement.
What information must be reported on professional service agreement psa?
Professional service agreements must include details such as the scope of services, payment terms, duration of the agreement, and any other relevant information.
Fill out your professional service agreement psa online with pdfFiller!
pdfFiller is an end-to-end solution for managing, creating, and editing documents and forms in the cloud. Save time and hassle by preparing your tax forms online.

Professional Service Agreement Psa is not the form you're looking for?Search for another form here.
Relevant keywords
Related Forms
If you believe that this page should be taken down, please follow our DMCA take down process
here
.
This form may include fields for payment information. Data entered in these fields is not covered by PCI DSS compliance.